实验7 Matlab符号计算
实验目的:
1、掌握定义符号对象的方法;
2、掌握符号表达式的运算法则以及符号矩阵运算。
3、掌握求符号函数极限及导数的方法。
4、掌握求符号函数定积分和不定积分的方法。
实验内容:
1.已知x=6,y=5,利用符号表达式求
x=6;
y=5;
z=(x+1)/(sqrt(3+x)-sqrt(y))

2.分解因式。
(1)
;
syms x y;
f=x.^4-y.^4
fn=factor(f)

(2)
syms x y;
f=125*x^6+75*x^4+15*x^2+1
ff=factor(f)

3.化简表达式
(1)
syms beta1 beta2;
f=sin(beta1)*cos(beta2)-cos(beta1)*sin(beta2)
fs=simplify(f)

(2)
syms x;
f=(4*x^2+8*x+3)/(2*x+1)
fs=simplify(f)

4.已知

完成下列运算:
syms a b c d e f g h i
P1=[0 1 0; 1 0 0; 0 0 1];
P2=[1 0 0; 0 1 0; 1 0 1];
A=[a b c; d e f; g h i];
(1)
.
B=P1*P2*A

(2)B的逆矩阵并验证结果。
Bi=inv(B)
yz=simplify(Bi*B)

(3)包括B矩阵主对角线元素的下三角阵。
Bt=tril(B)

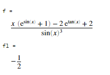
5.用符号方法求下列极限或导数。
(1)
。
syms x;
f=(x.*(exp(sin(x))+1)-2*(exp(tan(x))-1))/(sin(x).^3)
fl=limit(f,x,0)

(2)
。
syms x;
f=(sqrt(x)-sqrt(acos(x)))./sqrt(x+1)
fl=limit(f,x,1)

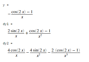
(3)
,求和。
syms x;
y=(1-cos(2.*x))./x
dy1=diff(y)
dy2=diff(y,2)

6.用符号方法求下列积分。
(1)
syms x;
y=1/(1+x.^4+x.^8)
fy=int(y)

(2)
syms x;
y=1/(asin(x)^2*sqrt(1-x^2))
fy=int(y)

(3)
syms x;
y=exp(x).*((1+exp(x))^2)
fy=int(y,0,log(2))

浙公网安备 33010602011771号