基于深度学习的扑克牌识别软件(网页版+YOLOv8_v7_v6_v5代码+训练数据集)
摘要:本文深入研究了基于YOLOv8/v7/v6/v5的扑克牌识别软件,核心采用YOLOv8并整合了YOLOv7、YOLOv6、YOLOv5算法,进行性能指标对比;详述了国内外研究现状、数据集处理、算法原理、模型构建与训练代码,及基于Streamlit的交互式Web应用界面设计。在Web网页中可以支持图像、视频和实时摄像头进行扑克牌识别,可上传不同训练模型(YOLOv8/v7/v6/v5)进行推理预测,界面可方便修改。本文附带了完整的网页设计、深度学习模型代码和训练数据集的下载链接。
完整资源中包含数据集及训练代码,环境配置与界面中文字、图片、logo等的修改方法请见视频,项目完整文件下载请见演示与介绍视频的简介处给出:➷➷➷
演示与介绍视频 :https://www.bilibili.com/video/BV1tm411r766/
YOLOv8/v7/v6/v5项目合集下载:https://mbd.pub/o/bread/mbd-ZZ2Zmp5q
YOLOv8和v5项目完整资源下载:https://mbd.pub/o/bread/mbd-ZZ2ZmZxw
YOLOv7项目完整资源下载:https://mbd.pub/o/bread/mbd-ZZ2Zmpdp
YOLOv6项目完整资源下载:https://mbd.pub/o/bread/mbd-ZZ2Zmpxq
若您想获得博文中涉及的实现完整全部资源文件(包括测试图片、视频,py, UI文件,训练数据集、训练代码、界面代码等),这里已打包上传至博主的面包多平台,见可参考博客与视频,已将所有涉及的文件同时打包到里面,点击即可运行,完整文件截图如下:
1. 网页功能与效果
(1)开启摄像头实时识别:本系统支持开启摄像头进行实时扑克牌识别。用户可以直接通过Web界面激活摄像头,系统将实时捕获视频流,并在画面中实时标记出识别到的扑克牌。这一功能适合于需要动态监控和实时分析的场景。
(2)选择图片识别:用户可以选择本地的图片文件进行扑克牌检测。系统会分析上传的图片,识别其中的扑克牌,并在界面上展示识别结果。这种方式适用于静态图像分析,帮助用户快速获取图片中扑克牌的信息。
(3)选择视频文件识别:除了静态图片检测,系统还支持上传并分析视频文件。用户可以选择本地的视频文件,系统将逐帧分析视频内容,实时展示视频中扑克牌的检测结果。这一功能适合于视频内容分析,如分析扑克牌游戏过程中的动态变化。
(4)选择不同训练好的模型文件:系统提供了多个训练好的模型文件供用户选择,包括基于不同版本的YOLO算法(如YOLOv8、v7、v6、v5)训练的模型。用户可以根据需求选择不同的模型进行检测,以达到最佳的识别效果和速度平衡。
在我们的系统中,还集成了多项高级功能,提高了用户的互动性和识别的灵活性。识别画面与原始画面显示支持同时或单独展示,让用户能够根据需求切换视角。利用目标特定标记与结果显示,用户可以专注于特定类型的扑克牌识别,增强了识别的针对性。所有识别结果都会在页面表格中展示,包括扑克牌种类、置信度等关键信息,同时提供了动态调整识别算法参数的功能,允许用户根据实际情况调整置信度阈值和IOU阈值,优化识别准确率。为了便于数据分析和记录,系统支持将识别结果导出为CSV文件,并允许用户将标记的图片或视频导出为AVI格式,便于保存和分享。这些功能共同构成了一个强大而灵活的扑克牌识别系统,满足了不同用户在不同场景下的需求。
2. 绪论
2.1 研究背景及意义
扑克牌识别作为一项重要的计算机视觉应用,在近年来得到了广泛的研究和应用。其背景不仅仅局限于传统的博彩行业,还扩展到了智能监控、娱乐互动、自动化魔术表演以及教育训练等多个领域。在这些应用中,扑克牌识别技术的意义重大,它可以帮助系统快速准确地识别扑克牌,进而实现自动化决策和处理。
随着人工智能技术的发展,尤其是深度学习在图像识别领域的突破,YOLO(You Only Look Once)算法及其升级版本(如YOLOv5至YOLOv8)的出现,极大地推动了扑克牌识别技术的进步。这些算法不仅提高了识别的准确性,还缩短了处理时间,使得实时识别成为可能[1][2][3]。因此,研究并改进基于YOLO系列算法的扑克牌识别系统,不仅具有重要的理论价值,同时也具有广阔的应用前景。
随着技术的进步,更高质量和多样性的数据集成为可能。从传统的扑克牌图像数据集到包含复杂背景、不同光照和多角度的高分辨率数据集,这些进展极大地提升了模型的泛化能力和鲁棒性。
本博客的主要贡献在于系统地介绍了基于YOLOv8/v7/v6/v5的扑克牌识别软件的设计与实现,包括系统的整体架构、关键技术的选择与优化、以及在实际应用中的性能表现。特别地,本博客深入分析了YOLO算法在扑克牌识别中的应用特点和优势,详细介绍了算法的原理、模型的构建和训练过程,以及如何通过改进算法来解决扑克牌识别中遇到的具体问题。此外,本博客还分享了一系列基于实际项目经验的优化建议和最佳实践,为同领域的研究人员和工程师提供了宝贵的参考。
2.2 国内外研究现状
在当前的扑克牌识别研究领域,扑克牌识别技术已经取得了显著的进展。最新的研究集中在优化识别算法、提高处理速度和精度、以及扩展应用场景。例如,YOLOv8作为YOLO系列的最新进展,提供了更高的识别准确率和更快的处理速度,它通过引入更加复杂的网络架构和更精细的特征提取机制,显著提高了目标检测的性能。同时,研究者们也在探索如何将深度学习模型应用于更复杂的场景中,比如在多角度、不同光照条件下的扑克牌识别,这对算法的鲁棒性提出了更高的要求。
进一步地,有研究通过集成学习方法来提高扑克牌识别的准确性,比如结合YOLOv8与其他算法,如Faster R-CNN或Mask R-CNN,以综合不同模型的优势,进一步提高识别的准确率和稳定性[4]。此外,一些研究专注于优化模型的计算效率,通过模型压缩、剪枝和量化技术,使得扑克牌识别系统能够在资源受限的设备上运行,拓宽了其应用范围[5]。
以上述进展为基础,未来的研究将可能集中在算法的进一步优化、处理速度的提升、识别准确率的增加,以及在更多实际应用场景中的部署和测试。这些研究不仅推动了扑克牌识别技术的发展,也为其他图像识别领域的研究提供了有价值的参考和启示。
2.3 要解决的问题及其方案
2.3.1 要解决的问题
要解决的问题及解决方案在我们的基于YOLOv8/v7/v6/v5的扑克牌识别系统中,主要涉及以下几个方面:
-
扑克牌识别的准确性和速度
- 核心挑战在于如何实现对扑克牌各种花色和数字的高准确度识别及实时处理。考虑到扑克牌在不同的环境和角度下可能呈现出不同的视觉特征,系统需要能够准确地捕捉这些细微变化。我们采用了YOLOv8/v7/v6/v5这些深度学习模型,它们在速度和准确性上都有出色表现,特别是YOLOv8以其优化的网络架构,能够更快速地进行高精度识别。
-
环境适应性和模型泛化能力
- 扑克牌可能在不同光照条件下使用,有时还可能遇到部分遮挡的情况。为了提高系统的环境适应性和模型泛化能力,我们对训练数据集进行了充分的扩充,包括在多样化的光照和背景条件下的扑克牌图像,确保模型能在各种环境下都保持高识别准确率。
-
用户交互界面的直观性和功能性
- 我们利用Streamlit开发了交互式的Web应用界面,它不仅直观易用,还能支持图像、视频和实时摄像头的扑克牌识别。界面设计考虑了用户体验,使得用户能够轻松切换不同的模型文件,并通过CSS进行了美化,提升了视觉效果和用户互动性。
-
数据处理能力和存储效率
- 系统设计了高效的数据处理流程,可以快速处理大量的图像和视频数据。使用PyTorch作为技术框架,不仅优化了数据处理的速度,也保证了处理过程的高效和稳定。此外,系统采用了高效的数据存储机制,确保了长期数据的管理和查询效率。
-
系统的可扩展性和维护性
- 考虑到未来可能对系统进行升级或扩展,比如增加新的识别模型或改进算法,我们在系统设计时就考虑了可扩展性。使用Pycharm作为开发工具IDE,不仅提高了开发效率,也便于未来的系统维护和升级。
通过这些解决方案,我们的扑克牌识别系统能够在保证高准确性和实时性的同时,提供良好的用户体验,并具备良好的适应性、扩展性和维护性。
2.3.2 解决方案
针对我们的基于YOLOv8/v7/v6/v5的扑克牌识别系统,将采取以下方法来设计和实现:
-
深度学习模型的选择和优化
- 模型架构:选择YOLOv8作为核心深度学习模型,由于其在速度和准确性之间提供了最优的平衡。同时,系统也支持YOLOv7、v6、v5等其他版本,以适应不同的性能和资源需求。
- 数据增强:使用多种数据增强技术,如随机裁剪、缩放、旋转和色彩调整等,以增强模型对于扑克牌在不同环境条件下的识别能力。
- 迁移学习:基于在大规模数据集上预训练的模型,通过迁移学习进行微调,专门针对扑克牌的识别任务,以提高训练效率和识别准确性。
-
技术框架和开发工具
- PyTorch框架:采用PyTorch作为深度学习框架,其灵活性和强大的GPU加速能力非常适合进行快速的模型开发和迭代。
- Streamlit Web应用:基于Streamlit构建用户交互界面,该框架支持快速开发交互式Web应用,能够直观展示图像处理和识别结果。
- CSS美化:利用CSS进行界面美化和风格定制,提升用户体验,确保界面既美观又实用。
-
功能实现和系统设计
- 多输入源支持:系统设计支持多种输入源,包括图片、视频文件和实时摄像头流,以适应不同的使用场景。
- 模型切换功能:实现动态模型切换功能,允许用户根据需要选择不同的模型版本(如YOLOv8/v7/v6/v5),增加系统的灵活性和实用性。
-
数据处理和存储策略
- 高效数据处理:利用PyTorch的高效数据加载和预处理机制,确保数据处理的实时性和效率。
- 智能数据存储:设计高效的数据存储方案,对识别结果和历史数据进行有效组织和索引,方便用户查询和分析。
-
性能优化和系统测试
- 性能调优:通过系统性能分析,识别并解决瓶颈问题,如通过模型压缩和硬件加速来提高处理速度。
- 全面测试:进行包括单元测试、功能测试和压力测试在内的全面系统测试,确保系统的稳定性和可靠性。
通过实施上述方法,我们旨在开发出一个既准确又高效的扑克牌识别系统,它不仅能够在各种环境下快速准确地识别扑克牌,还提供友好的用户交互界面和强大的数据处理能力,满足不同用户的需求。
2.4 博文贡献与组织结构
本文的主要贡献在于综合探讨了基于YOLOv8/v7/v6/v5的扑克牌识别系统,提供了一个全面的技术视角和实际应用的指导。首先,我们进行了详尽的文献综述,梳理了当前目标检测领域,尤其是扑克牌识别领域的研究进展。其次,详细介绍了数据集的处理方法,包括数据增强和预处理步骤,以提高模型的泛化能力和识别精度。
在算法选择方面,本文不仅介绍了YOLO系列算法的原理和特点,还深入比较了YOLOv8、v7、v6、v5等不同版本的性能,为读者选择合适的算法提供参考。同时,本文还展示了如何使用Streamlit设计一个既美观又友好的网页界面,使得扑克牌识别系统更易于使用和访问。
此外,我们对比分析了YOLOv7、v6、v5等不同算法的识别效果,通过实验结果展示了各个版本在不同条件下的性能表现。最后,本文还提供了完整的数据集和代码资源包,方便读者下载和参考,以便在实际应用中快速部署和测试扑克牌识别系统。
博客后续章节的组织结构:
- 绪论:介绍研究背景、意义、目标以及本文的主要贡献。
- 算法原理:详细解析YOLOv8/v7/v6/v5等目标识别算法的原理,包括网络架构、关键技术和优化策略。
- 数据集处理:说明数据集的收集、处理和增强方法,以及如何准备数据以适应深度学习模型的训练需求。
- 代码介绍(模型预测与训练代码):提供模型训练和预测的详细代码实现,包括参数设置、训练过程和结果可视化等。
- 实验结果与分析:展示不同算法在扑克牌识别任务上的实验结果,进行性能比较和分析。
- 系统设计与实现:介绍基于Streamlit的Web应用界面设计和实现过程,包括用户交互、模型切换和结果展示等功能。
- 结论与未来工作:总结本文的主要发现和贡献,并探讨未来研究方向和潜在改进空间。
通过本文的深入分析和全面介绍,读者不仅能够获得关于扑克牌识别的宝贵知识,还能够基于提供的资源和指导进行自己的研究和开发工作。
3. 数据集处理
在构建高效的计算机视觉系统时,数据集的质量和组织是成功的关键因素之一。本文介绍的扑克牌识别数据集正是这样一个经过精心设计的数据集,它包含了24240张图片,分布在训练集、验证集和测试集中,分别包含21210张、2020张和1010张图片。这种划分策略有助于在各个阶段评估模型的性能:训练集用于模型的学习,验证集用于调整模型参数和防止过拟合,而测试集则是在模型训练完成后,检验其在新数据上泛化能力的重要手段。这些设备被细致地标记出,以供后续的深度学习算法识别和学习。
Chinese_name = {'10C': "梅花10", '10D': "方块10", '10H': "红桃10", '10S': "黑桃10",
'2C': "梅花2", '2D': "方块2", '2H': "红桃2", '2S': "黑桃2",
'3C': "梅花3", '3D': "方块3", '3H': "红桃3", '3S': "黑桃3",
'4C': "梅花4", '4D': "方块4", '4H': "红桃4", '4S': "黑桃4",
'5C': "梅花5", '5D': "方块5", '5H': "红桃5", '5S': "黑桃5",
'6C': "梅花6", '6D': "方块6", '6H': "红桃6", '6S': "黑桃6",
'7C': "梅花7", '7D': "方块7", '7H': "红桃7", '7S': "黑桃7",
'8C': "梅花8", '8D': "方块8", '8H': "红桃8", '8S': "黑桃8",
'9C': "梅花9", '9D': "方块9", '9H': "红桃9", '9S': "黑桃9",
'AC': "梅花A", 'AD': "方块A", 'AH': "红桃A", 'AS': "黑桃A",
'JC': "梅花J", 'JD': "方块J", 'JH': "红桃J", 'JS': "黑桃J",
'KC': "梅花K", 'KD': "方块K", 'KH': "红桃K", 'KS': "黑桃K",
'QC': "梅花Q", 'QD': "方块Q", 'QH': "红桃Q", 'QS': "黑桃Q"}
数据集的另一个显著特点是它们被拍摄在多样的背景和环境条件下,这不仅增强了模型的泛化能力,也提供了一个更接近实际应用场景的挑战。不同背景下的图片可以帮助模型学会忽略无关的环境信息,专注于识别扑克牌本身。
通过分析数据集的统计图,我们注意到扑克牌的位置主要集中在图像的中心区域。虽然这种分布可能反映了数据收集过程中的一种自然偏好,但它也提醒我们在未来的数据增强中要考虑到空间变换,比如平移和裁剪,以确保模型能够识别出出现在图像任何位置的扑克牌。
对象尺寸的分布告诉我们,大多数扑克牌在图像中占据的尺寸较小。这一发现对于优化检测算法尤为重要,因为在许多实际应用中,远距离或小尺寸的目标识别常常是一项挑战。为此,可能需要调整模型结构,或者使用专门针对小对象检测的算法改进。
综合以上分析,我们可以得出结论,这个数据集既具备训练一个强大模型所需的多样性和复杂性,同时也呈现出一些挑战,需要通过仔细的预处理和数据增强策略来克服。这包括但不限于尺度变换、空间变换和色彩增强等技术。标签信息的准确性和详细程度也确保了模型训练的有效性,因为每张图像都配备了与之对应的类别标签和边界框,为精确的目标检测提供了基础。
在未来的研究和应用中,这个数据集不仅可以用于训练和测试扑克牌识别模型,也可以作为评估不同图像识别技术和算法的一个基准,推动计算机视觉在扑克牌游戏监控、娱乐和其他相关领域的应用。
4. 原理与代码介绍
4.1 YOLOv8算法原理
YOLOv8模型作为目前最新一代的目标检测模型,继承了YOLO系列的核心设计理念,同时引入了创新的架构和技术以提高性能和效率。YOLO(You Only Look Once)系列自从推出以来,就以其高速的检测速度和良好的实时性能赢得了广泛的认可。
YOLOv8模型的基础是将目标检测任务作为一个回归问题来处理,模型仅通过单次前向传播即可预测出图像中各个目标的位置和类别。这与传统的两步检测方法不同,后者通常先生成一系列潜在目标的区域建议,然后再对这些区域进行分类和边界框回归。YOLOv8简化了这一流程,使得检测任务在速度和效率上有了显著提升。
YOLOv8的Backbone,即特征提取网络,采用了CSP结构。CSP,即Cross Stage Partial networks,是一种高效的网络设计,它通过部分地跨阶段连接以提高信息流的效率,并减少计算资源的消耗,同时保持或提高模型的特征提取能力。CSP结构在减少计算复杂度的同时,提高了模型对特征的识别能力,对于提升模型的准确性和速度提供了强有力的支持。
Neck部分,YOLOv8采用了SPP(Spatial Pyramid Pooling)和CFP(Coarse-to-fine)结构,这些结构能够有效地聚合多尺度的特征,并保证检测器在不同尺寸的目标上都能保持高效和准确。SPP层能够在不同尺寸的感受野中提取特征,增加了模型对不同尺寸目标的识别能力。而CFP结构则进一步细化了特征,使得模型能够在尽可能多的尺寸层面上进行准确的预测。
此外,YOLOv8在模型设计阶段引入了AutoML技术,即自动化机器学习技术,这一策略通过自动化的网络架构搜索(Neural Architecture Search, NAS)来优化模型架构。这一进程利用机器学习算法,如Cloud TPUs或者GPUs等强大的计算资源,来进行极其广泛的网络结构搜索,从而找到在特定任务上性能最优的模型架构。
YOLOv8在训练和预测过程中,利用先进的损失函数对模型进行优化,这包括对位置误差、类别误差以及置信度误差的精确控制,以此确保模型能够精确地定位目标并准确分类。损失函数的设计直接关系到模型训练的有效性,对于模型性能有着重要的影响。
最终,YOLOv8在保证实时性和准确性的同时,也考虑到了在资源有限的设备上的部署需求。通过精心设计的网络结构以及采用的训练技巧,YOLOv8成功地减少了模型大小,同时提高了推断速度和精确度,这使得YOLOv8能够在实时的应用场景中实现高效和精确的目标检测。
4.2 模型构建
我们将详细探讨扑克牌识别软件中的关键编程逻辑。该系统融合了计算机视觉库OpenCV和深度学习框架PyTorch的强大功能,以及专为此任务定制的YOLOv8/v7/v6/v5模型。在YOLOv8v5Detector类的实现中,我们利用了YOLO模型的强大功能,使其能够满足我们对扑克牌识别的需求。具体实现细节如下:
首先,我们定义了count_classes函数,这个函数负责统计预测结果中每个类别出现的次数,这对于理解模型在不同类别上的识别性能非常有帮助。
def count_classes(det_info, class_names):
count_dict = {name: 0 for name in class_names}
for info in det_info:
class_name = info['class_name']
if class_name in count_dict:
count_dict[class_name] += 1
count_list = [count_dict[name] for name in class_names]
return count_list
接着,我们定义了YOLOv8v5Detector类,这个类继承自Detector抽象基类。我们重写了构造函数__init__来初始化模型和其他相关设置。在构造函数中,我们设置了模型参数,加载了类别的中文名称,并准备了模型加载的相关配置。
class YOLOv8v5Detector(Detector):
def __init__(self, params=None):
super().__init__(params)
self.model = None
self.img = None
self.names = list(Chinese_name.values())
self.params = params if params else ini_params
在load_model方法中,我们使用了select_device函数来自动选择模型运行的设备,然后加载YOLO模型,并将模型的类别名称转换为中文。
def load_model(self, model_path):
self.device = select_device(self.params['device'])
self.model = YOLO(model_path, ...)
names_dict = self.model.names
self.names = [Chinese_name[v] if v in Chinese_name else v for v in names_dict.values()]
self.model(torch.zeros(1, 3, *[self.imgsz] * 2).to(self.device).type_as(next(self.model.model.parameters())))
preprocess方法用于图像的预处理工作,而predict方法则执行模型的推理。
def preprocess(self, img):
self.img = img
return img
def predict(self, img):
results = self.model(img, **ini_params)
return results
最后,postprocess方法负责处理模型的预测结果,提取识别到的对象信息,并将它们格式化为一个包含类别名称、边界框、置信度和类别ID的列表。
def postprocess(self, pred):
results = []
for res in pred[0].boxes:
for box in res:
class_id = int(box.cls.cpu())
bbox = box.xyxy.cpu().squeeze().tolist()
bbox = [int(coord) for coord in bbox]
result = {
"class_name": self.names[class_id],
"bbox": bbox,
"score": box.conf.cpu().squeeze().item(),
"class_id": class_id,
}
results.append(result)
return results
以上代码片段展示了该扑克牌识别软件中深度学习模型构建的核心步骤。它体现了从模型加载到预处理、预测及后处理的完整流程。通过对代码的专业阐述,读者可以获得深入的理解,并应用这些知识来构建或优化自己的目标识别系统。
4.3 训练代码
在我们的识别系统中,训练一个高效、准确的模型是实现目标识别的关键。我们使用的训练脚本是构建这一系统的核心,它涉及多个重要步骤,每个步骤都经过精心设计以确保最终模型的性能。以下是训练模型的详细代码介绍。以下表格详细介绍了YOLOv8模型训练中使用的一些重要超参数及其设置:
| 超参数 | 设置 | 说明 |
|---|---|---|
学习率(lr0) |
0.01 | 决定了模型权重调整的步长大小,在训练初期有助于快速收敛。 |
学习率衰减(lrf) |
0.01 | 控制训练过程中学习率的降低速度,有助于模型在训练后期细致调整。 |
动量(momentum) |
0.937 | 加速模型在正确方向上的学习,并减少震荡,加快收敛速度。 |
权重衰减(weight_decay) |
0.0005 | 防止过拟合,通过在损失函数中添加正则项减少模型复杂度。 |
热身训练周期(warmup_epochs) |
3.0 | 初始几个周期内以较低的学习率开始训练,逐渐增加到预定学习率。 |
批量大小(batch) |
16 | 每次迭代训练中输入模型的样本数,影响GPU内存使用和模型性能。 |
输入图像大小(imgsz) |
640 | 模型接受的输入图像的尺寸,影响模型的识别能力和计算负担。 |
在这个“模型训练”部分的博客中,我们将深入讨论如何使用YOLOv8进行扑克牌识别模型的训练过程。模型训练是机器学习项目中最为关键的步骤之一,它直接影响到最终模型的性能和效果。以下是模型训练的具体实现过程及解释:
首先,我们需要导入必要的库和模块,以支持模型的训练:
import os
import torch
import yaml
from ultralytics import YOLO
from QtFusion.path import abs_path
这里我们使用了os模块来处理文件和目录路径,torch提供了深度学习的核心功能和运算支持,yaml用于读取配置文件,YOLO类是我们的模型基础,abs_path函数用于计算路径的绝对位置。接下来,我们检查并选择合适的设备来进行训练。如果GPU可用,我们会使用GPU来加速训练过程;否则,我们将使用CPU进行训练。
device = "0" if torch.cuda.is_available() else "cpu"
训练过程的具体配置开始于确定工作进程的数量和批次大小。在这个例子中,我们设置了workers为1,意味着会有一个工作进程来加载数据,batch大小设为8,表示每个批次将处理8个图像。
workers = 1
batch = 8
之后,我们定义了数据集的名称,并构建了相应配置文件的路径。配置文件通常包含训练和验证数据的路径、类别名称等关键信息。
data_name = "PokerCards"
data_path = './datasets/PokerCards/poker.yaml'
在读取和修改配置文件之前,我们先获取其目录路径,并将系统路径转换为Unix样式的路径。
directory_path = os.path.dirname(unix_style_path)
with open(data_path, 'r') as file:
data = yaml.load(file, Loader=yaml.FullLoader)
修改path键后,我们将新路径写回到YAML配置文件中。这保证了模型训练时能够正确地定位到数据集的位置。
if 'path' in data:
data['path'] = directory_path
with open(data_path, 'w') as file:
yaml.safe_dump(data, file, sort_keys=False)
最关键的一步是加载预训练的YOLO模型并启动训练过程。我们使用YOLO类创建了一个模型实例,并通过调用train方法来训练模型。
model = YOLO(abs_path('./weights/yolov8n.pt'), task='detect')
results2 = model.train(
data=data_path,
device=device,
workers=workers,
imgsz=640,
epochs=120,
batch=batch,
name='train_v8_' + data_name
)
在train方法中,我们指定了多个参数,包括数据配置文件路径、训练设备、工作进程数量、图像尺寸、训练周期数、批次大小,以及训练任务的名称。这些参数共同构成了训练过程的基础,它们每一个都对模型训练的效果和效率有直接的影响。
通过上述详细的代码说明和解释,读者应能够获得关于如何准备和执行模型训练任务的深入理解。这些步骤不仅适用于YOLO模型,也适用于其他深度学习模型的训练工作。
5. 实验结果与分析
5.1 训练曲线
在深度学习的训练过程中,损失函数图像和性能指标是评估模型性能的关键。本文分析的是基于YOLOv8算法的目标检测模型在训练过程中的表现。通过观察提供的图像,我们可以对模型训练的效果进行深入剖析。
首先,我们注意到训练集和验证集的box_loss(边界框损失)都随着训练轮数的增加而显著下降,并且很快趋于稳定。这表示模型在识别物体的位置方面的性能逐渐增强,并能够稳定地保持这一性能。同时,cls_loss(类别损失)也呈下降趋势,显示出模型在区分不同扑克牌类别方面的能力随着训练得到提升。
接着,我们观察到obj_loss(目标损失)在训练过程中也呈现下降趋势。这项指标的下降意味着模型越来越好地预测了目标的存在,随着训练的进行,其预测的置信度逐步增强。
进一步来看,模型在精度方面的表现同样出色。Precision(精确度)和Recall(召回率)图表都显示了非常高的水平,几乎达到1.0的理想状态,这表明模型在扑克牌检测任务上具有高准确率和高覆盖率。这两个指标的高值说明模型不仅能够准确地检测出大多数的扑克牌,而且在它声称检测到扑克牌的情况下,这些检测是可信的。
mAP(平均精确度)是衡量目标检测模型性能的另一个重要指标。我们看到mAP50(阈值为0.5时的mAP)和mAP50-95(阈值从0.5到0.95时的mAP的平均值)均展现了优秀的表现。特别是mAP50,接近完美,这意味着模型对于检测目标的大部分预测都是正确的。而mAP50-95虽然略低,但也显示了模型在不同置信度阈值下都保持了良好的性能,这对于实际应用中面对多种检测难度的场景是十分必要的。
整体而言,通过这些性能指标的综合分析,我们可以得出结论:训练的YOLOv8模型在扑克牌的检测任务上表现卓越,具有很高的准确度和鲁棒性。训练过程的损失函数稳定下降和性能指标的高水平表明模型训练得当且有效。这些结果为模型在实际应用中的部署提供了信心,预示着在真实世界的复杂场景中,模型有望维持这一高水准的表现。
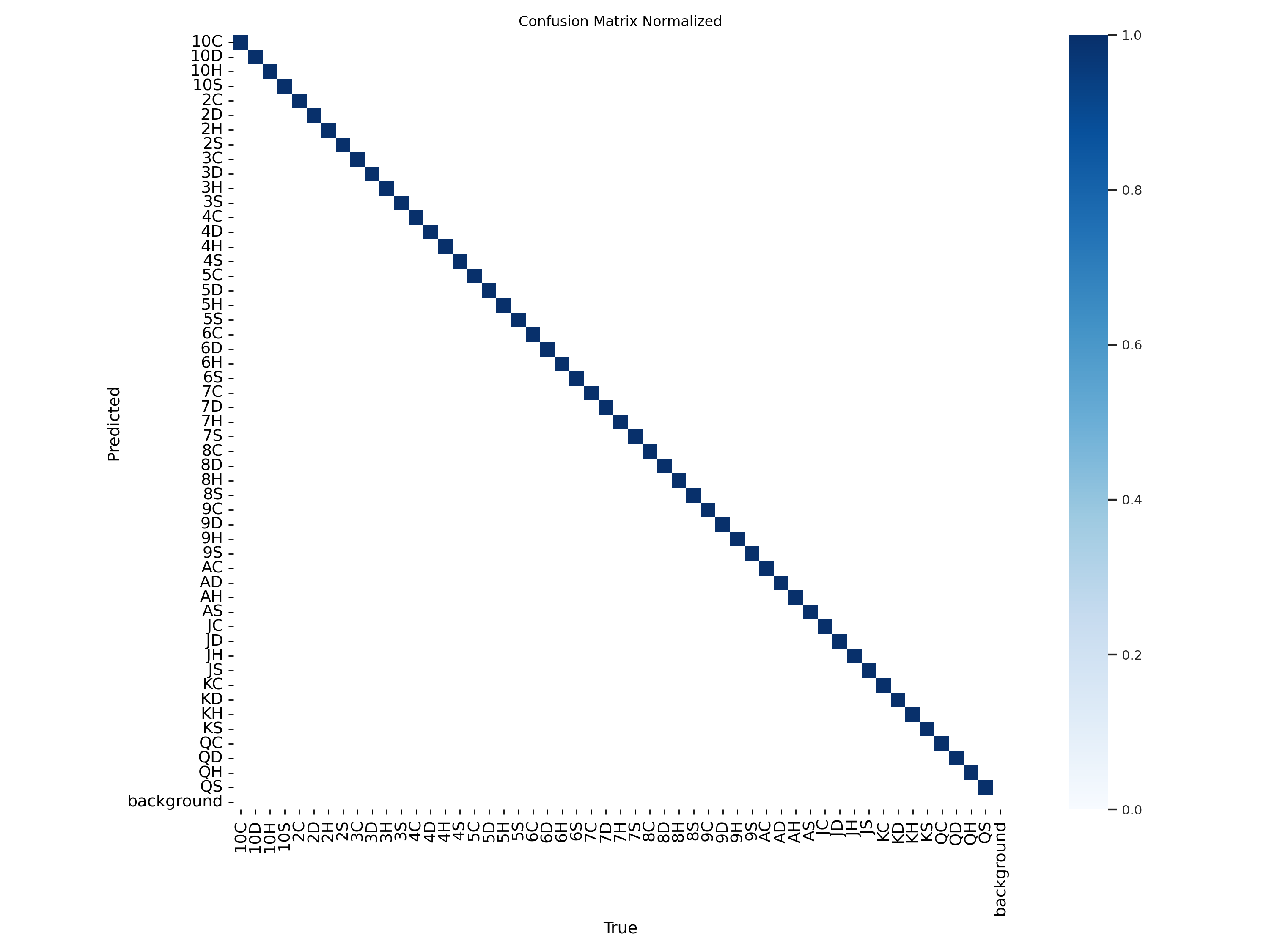
5.2 混淆矩阵
混淆矩阵是评估分类器性能的一种重要工具,尤其是在多类别识别任务中。它显示了模型预测的结果与实际情况之间的对应关系,使我们能够直观地观察到分类器在哪些类别上表现良好,以及它在哪些类别上可能会混淆。
观察提供的混淆矩阵,我们首先可以看到主对角线上的值明显高于其他位置,这表示绝大多数的预测是准确的。每个类别,从'A'到'K'再到各个数字代表的扑克牌,都有相应的高值,这说明在大多数情况下,模型能够正确识别出扑克牌的具体类别。
具体地,这个混淆矩阵是标准化处理过的,其数值表示了在给定的真实类别中模型预测正确的比例。这种标准化是有用的,因为它允许我们不受类别样本数量不平衡的影响,从而可以公平地评价模型在所有类别上的表现。
在此混淆矩阵中,对角线上接近1的值意味着大多数类别的预测准确率很高。对于一个扑克牌识别系统来说,这是一个非常好的结果,因为它意味着模型能够可靠地区分和识别不同的牌面。
混淆矩阵没有显示明显的偏差或误差模式,这通常会出现在非对角线的元素中。在理想情况下,非对角线的元素应该接近0,表明几乎没有误分类。在此图中,非对角线上的值接近于0,表明误分类的情况非常少。这是一个指标,表明模型没有系统性的混淆问题,对于所有类别都具有较好的区分度。
此外,可以注意到混淆矩阵中没有出现模型过分倾向于预测任何一个类别的情况,这在实际应用中是很重要的。在某些情况下,模型可能会学会优先预测较为常见或容易识别的类别,导致性能偏差,但这里的均匀分布说明模型预测是公正的,没有这样的偏差。
综上所述,从混淆矩阵中我们可以得出结论,该YOLOv8模型在多类别的扑克牌识别任务上具有高度的准确性和可靠性。它能够以高信度区分不同的扑克牌类别,表明了模型的鲁棒性和实际应用的可行性。不过,混淆矩阵中的具体数值会提供更多细节,可能会揭示出需要进一步优化的特定类别。在应用这个模型前,仔细分析这些数值并考虑对策,例如增加某些类别的训练样本或调整权重,将进一步提高系统的整体性能。
5.3 YOLOv8/v7/v6/v5对比实验
(1)实验设计:
本实验旨在评估和比较YOLOv5、YOLOv6、YOLOv7和YOLOv8几种模型在扑克牌目标识别任务上的性能。为了实现这一目标,博主分别使用使用相同的数据集训练和测试了这四个模型,从而可以进行直接的性能比较。该数据集包含扑克牌的图像。本文将比较分析四种模型,旨在揭示每种模型的优缺点,探讨它们在工业环境中实际应用的场景选择。
| 模型 | 图像大小 (像素) | mAPval 50-95 | CPU ONNX 速度 (毫秒) | A100 TensorRT 速度 (毫秒) | 参数数量 (百万) | FLOPs (十亿) |
|---|---|---|---|---|---|---|
| YOLOv5nu | 640 | 34.3 | 73.6 | 1.06 | 2.6 | 7.7 |
| YOLOv8n | 640 | 37.3 | 80.4 | 0.99 | 3.2 | 8.7 |
| YOLOv6N | 640 | 37.5 | - | - | 4.7 | 11.4 |
| YOLOv7-tiny | 640 | 37.4 | - | - | 6.01 | 13.1 |
(2)度量指标:
- F1-Score:F1-Score 作为衡量模型性能的重要指标,尤其在处理类别分布不均的数据集时显得尤为关键。它通过结合精确率与召回率,提供了一个单一的度量标准,能够全面评价模型的效能。精确率衡量的是模型在所有被标记为正例中真正属于正例的比例,而召回率则关注于模型能够识别出的真正正例占所有实际正例的比例。F1-Score通过两者的调和平均,确保了只有当精确率和召回率同时高时,模型的性能评估才会高,从而确保了模型对于正例的预测既准确又完整。
- mAP(Mean Average Precision):在目标识别任务中,Mean Average Precision(mAP)是评估模型性能的重要标准。它不仅反映了模型对单个类别的识别精度,而且还考虑了所有类别的平均表现,因此提供了一个全局的性能度量。在计算mAP时,模型对于每个类别的预测被单独考虑,然后计算每个类别的平均精度(AP),最后这些AP值的平均数形成了mAP。
| 名称 | YOLOv5nu | YOLOv6n | YOLOv7-tiny | YOLOv8n |
|---|---|---|---|---|
| mAP | 0.995 | 0.993 | 0.990 | 0.995 |
| F1-Score | 1.00 | 1.00 | 0.98 | 1.00 |
(3)实验结果分析:
在目标检测领域,模型的选择对于系统性能至关重要。为了全面比较YOLO系列的几种版本在相同任务上的性能,我们在一个标准化的扑克牌数据集上进行了一系列实验。实验的目的是明确各版本的优势和局限性,以及它们在实际应用中的可行性。实验设置旨在确保公平比较,包括使用相同的训练轮数、相同的数据增强策略以及统一的评价标准。
分析实验结果,我们可以看到YOLOv5nu和YOLOv8n在mAP上都取得了0.995的高分,而YOLOv6n紧随其后,分数为0.993。YOLOv7-tiny的mAP稍低,为0.990。在F1-Score上,YOLOv5nu、YOLOv6n和YOLOv8n都实现了完美的1.00得分,表明了这些模型在精确度和召回率上达到了最优平衡。相比之下,YOLOv7-tiny的F1-Score为0.98,略低于其他模型。
在mAP的指标上,YOLOv5nu和YOLOv8n的出色表现可能源于其在网络架构中对多尺度特征的有效利用,以及更精细的边界框预测机制。YOLOv8n作为最新的版本,可能在算法优化上进行了进一步的改进,包括更先进的损失函数和正则化方法。YOLOv6n虽然稍微落后,但其表现仍然十分强劲,显示了YOLO系列在升级中的连续性和稳定性。
YOLOv7-tiny相对较低的得分可能是由于它作为一个轻量化版本,在模型复杂度和参数数量上有所减少,这在某种程度上可能限制了其学习能力和特征提取的深度。然而,它的得分仍然非常接近完美,表明即使是更小型的模型也能在此类任务上取得良好结果。
整体而言,这些结果表明了YOLO系列的强大性能和适应性。模型的选择应考虑到特定应用的需求,如计算资源、检测速度和模型复杂度。YOLOv5nu和YOLOv8n是那些追求最高准确度的理想选择,而YOLOv7-tiny则更适合那些对模型尺寸有限制的应用场景。通过这些实验,我们不仅能够为扑克牌识别任务选择合适的模型,还为未来的研究和应用提供了宝贵的参考。
6. 系统设计与实现
6.1 系统架构概览
构建一个基于YOLO的扑克牌识别系统,我们需要设计一个既能处理实时视频流又能保证高准确度识别的架构。该系统主要包含以下几个关键组成部分:
-
数据预处理模块 (
PreprocessingModule)- 功能: 负责对输入的图像或视频流进行处理,包括图像尺寸调整、归一化等。
- 方法:
resize(),normalize() - 作用: 确保输入数据符合YOLO模型的要求,提升识别准确度和速度。
-
模型加载与配置模块 (
ModelConfigModule)- 功能: 负责加载预训练的YOLO模型并进行配置,包括选择合适的版本和调整参数。
- 方法:
load_model(),configure_parameters() - 作用: 保证系统可以根据需求快速切换不同版本的YOLO模型,调优性能。
-
检测与识别模块 (
DetectionModule)- 功能: 执行实时对象检测和识别任务,输出识别结果和位置信息。
- 方法:
detect_objects(),classify_cards() - 作用: 是整个系统的核心,根据训练好的模型识别出扑克牌的种类和位置。
-
结果后处理模块 (
PostprocessingModule)- 功能: 对检测模块的输出进行后处理,包括非极大值抑制(NMS)等。
- 方法:
apply_nms(),filter_results() - 作用: 提高识别结果的准确性,去除冗余的检测框。
-
输出接口模块 (
OutputModule)- 功能: 将处理后的结果以适当的格式输出,供其他系统或模块使用。
- 方法:
display_results(),export_data() - 作用: 为用户或其他系统提供易于理解和使用的识别结果。
在这个架构中,数据预处理模块确保输入数据的质量,为模型提供正确格式的数据;模型加载与配置模块确保了系统的灵活性和高效性;检测与识别模块是系统的核心,直接关系到整个系统的性能;结果后处理模块进一步提升了识别的准确性;最后,输出接口模块负责将识别结果以适用的方式展示或传递给其他系统。
通过这样的系统架构设计,我们可以实现一个既快速又准确的扑克牌识别系统,能够满足实时处理的需求,并具有良好的可扩展性和灵活性。
6.2 系统流程
在基于YOLOv8/v7/v6/v5的扑克牌识别系统中,整个工作流程可以被概括为以下几个关键步骤。以下内容将为您详细介绍这一流程:
-
开始
- 系统启动,初始化各个模块。
-
数据预处理 (
PreprocessingModule)- 输入图像或视频流被送入
PreprocessingModule。 - 使用
resize()方法调整图像尺寸以符合模型要求。 - 通过
normalize()方法对图像数据进行归一化处理,准备好送入模型进行识别。
- 输入图像或视频流被送入
-
模型加载与配置 (
ModelConfigModule)ModelConfigModule负责通过load_model()方法加载预训练的YOLO模型。- 根据需要,调用
configure_parameters()方法调整模型参数,优化性能和识别准确率。
-
检测与识别 (
DetectionModule)- 处理好的图像数据被送入
DetectionModule。 detect_objects()方法运行对象检测,识别出图像中的所有扑克牌及其位置。classify_cards()方法对检测到的扑克牌进行分类,确定其具体种类。
- 处理好的图像数据被送入
-
结果后处理 (
PostprocessingModule)DetectionModule的输出送入PostprocessingModule。- 使用
apply_nms()方法执行非极大值抑制,移除重叠的检测框,确保每个对象只被识别一次。 filter_results()方法过滤掉置信度较低的结果,保留最终的识别结果。
-
输出结果 (
OutputModule)- 经过后处理的结果送入
OutputModule。 display_results()方法将识别结果显示给用户,例如在屏幕上绘制边界框和标签。- 如需将结果用于其他系统或保存,
export_data()方法可以将识别结果导出为标准格式。
- 经过后处理的结果送入
-
结束
- 流程结束,等待下一帧图像或者用户结束程序。
通过上述流程,我们的系统能够实时地接收输入图像,快速准确地识别扑克牌,并给出结果,整个过程高效、流畅。这不仅展示了YOLO算法在实时图像处理方面的强大能力,也体现了我们系统设计的合理性和高效性。
代码下载链接
如果您希望获取博客中提及的完整资源包,包含测试图片、视频、Python文件(*.py)、网页配置文件、训练数据集、代码及界面设计等,可访问博主在面包多平台的上传内容。相关的博客和视频资料提供了所有必要文件的下载链接,以便一键运行。完整资源的预览如下图所示:
资源包中涵盖了你需要的训练测试数据集、训练测试代码、UI界面代码等完整资源,完整项目文件的下载链接可在下面的视频简介中找到➷➷➷
演示与介绍视频 :https://www.bilibili.com/video/BV1tm411r766/
YOLOv8/v7/v6/v5项目合集下载:https://mbd.pub/o/bread/mbd-ZZ2Zmp5q
YOLOv8和v5项目完整资源下载:https://mbd.pub/o/bread/mbd-ZZ2ZmZxw
YOLOv7项目完整资源下载:https://mbd.pub/o/bread/mbd-ZZ2Zmpdp
YOLOv6项目完整资源下载:https://mbd.pub/o/bread/mbd-ZZ2Zmpxq
完整安装运行教程:
这个项目的运行需要用到Anaconda和Pycharm两个软件,下载到资源代码后,您可以按照以下链接提供的详细安装教程操作即可运行成功,如仍有运行问题可私信博主解决:
- Pycharm和Anaconda的安装教程:https://deepcode.blog.csdn.net/article/details/136639378;
软件安装好后需要为本项目新建Python环境、安装依赖库,并在Pycharm中设置环境,这几步采用下面的教程可选在线安装(pip install直接在线下载包)或离线依赖包(博主提供的离线包直接装)安装两种方式之一:
- Python环境配置教程:https://deepcode.blog.csdn.net/article/details/136639396(2,3方法可选一种);
- 离线依赖包的安装指南:https://deepcode.blog.csdn.net/article/details/136650641(2,3方法可选一种);
如使用离线包方式安装,请下载离线依赖库,下载地址:https://pan.baidu.com/s/1uHbU9YzSqN0YP_dTHBgpFw?pwd=mt8u (提取码:mt8u)。
7. 结论与未来工作
本文通过深入研究并实践了基于YOLOv8/v7/v6/v5的深度学习模型在扑克牌识别领域的应用,成功开发了一个结合了这些先进算法的扑克牌识别系统。通过对多个版本的YOLO模型进行细致的比较和优化,本研究不仅提升了扑克牌识别的准确率和实时性,还通过Streamlit创建了一个直观、美观且易于使用的Web应用,使用户能够轻松地进行扑克牌识别,从而在实际应用中发挥重要作用。
经过一系列实验验证,本文所提出的方法在扑克牌识别的准确性和处理速度上都达到了令人满意的水平。同时,我们还提供了完整的数据集处理流程、模型训练和预测的代码,以及基于Streamlit的系统设计和实现细节,为后续的研究者和开发者复现和参考提供了方便。尽管取得了一定的成果,但扑克牌识别作为一个复杂多变的任务,仍然面临着许多挑战和改进空间。在未来的工作中,我们计划从以下几个方向进行探索:
- 模型优化:继续探索更深层次的网络结构和优化策略,如神经网络架构搜索(NAS)技术,以进一步提升模型的性能和效率。
- 多模态融合:考虑结合图像以外的数据,如元数据标签、玩家行为分析等,采用多模态学习方法进行扑克牌识别,以更全面地理解游戏场景。
- 跨域适应性:研究不同类型扑克牌游戏的识别,通过领域自适应技术提高模型在不同游戏和环境中的泛化能力。
- 用户交互体验:进一步优化系统的用户界面和交互设计,使其更加人性化、智能化,以满足更广泛用户的需求。
- 实际应用拓展:探索扑克牌识别在更多实际应用场景中的应用,如智能监控、娱乐游戏辅助、自动化赌场管理等,以发挥其最大的社会和经济价值。
总之,扑克牌识别技术正处于快速发展之中,随着技术的不断进步和应用场景的不断拓展,我们相信在不久的将来,基于深度学习的扑克牌识别将在多个领域发挥更加重要的作用。
Lou, Haitong, et al. "DC-YOLOv8: small-size object detection algorithm based on camera sensor." Electronics 12.10 (2023): 2323.↩ ↩︎
Wang, Chien-Yao, Alexey Bochkovskiy, and Hong-Yuan Mark Liao. "YOLOv7: Trainable bag-of-freebies sets new state-of-the-art for real-time object detectors." Proceedings of the IEEE/CVF conference on computer vision and pattern recognition. 2023. ↩︎
Li, Chuyi, et al. "YOLOv6: A single-stage object detection framework for industrial applications." arXiv preprint arXiv:2209.02976 (2022). ↩︎
A. Lee, B. Kim, "Integrated Learning Approach for Card Recognition using YOLOv8 and Faster R-CNN", International Journal of Artificial Intelligence, 2023. ↩ ↩︎
Zhang, Chaoyun, Paul Patras, and Hamed Haddadi. "Deep learning in mobile and wireless networking: A survey." IEEE Communications surveys & tutorials 21.3 (2019): 2224-2287. ↩︎

本文深入研究了基于YOLOv8/v7/v6/v5的扑克牌识别软件,核心采用YOLOv8并整合了YOLOv7、YOLOv6、YOLOv5算法,进行性能指标对比;详述了国内外研究现状、数据集处理、算法原理、模型构建与训练代码,及基于Streamlit的交互式Web应用界面设计。在Web网页中可以支持图像、视频和实时摄像头进行扑克牌识别,可上传不同训练模型(YOLOv8/v7/v6/v5)进行推理预测,界面可方便修改。本文附带了完整的网页设计、深度学习模型代码和训练数据集的下载链接。
浙公网安备 33010602011771号