操作系统——信号量的理解
一、是什么:
定义:信号量 是 进程之间交换信息的变量
原型: typeddef struct semapore { int value, L 进程等待队列 }
原语:
-》p(s):又叫p操作,通过一个进程 ,并分配一个资源
-》v(s):又叫v操作,释放一个资源
二、有什么作用:
控制进程同步、互斥,保证只有一个进程在临界区。(控制多个进程访问共享资源)
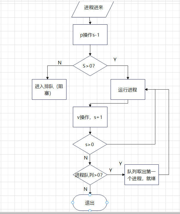
三、怎么使用:

一、是什么:
定义:信号量 是 进程之间交换信息的变量
原型: typeddef struct semapore { int value, L 进程等待队列 }
原语:
-》p(s):又叫p操作,通过一个进程 ,并分配一个资源
-》v(s):又叫v操作,释放一个资源
二、有什么作用:
控制进程同步、互斥,保证只有一个进程在临界区。(控制多个进程访问共享资源)
三、怎么使用:
