LeetCode:141. 环形链表,142.环形链表 II
141.给定一个链表,判断链表中是否有环。
如果链表中有某个节点,可以通过连续跟踪 next 指针再次到达,则链表中存在环。 为了表示给定链表中的环,我们使用整数 pos 来表示链表尾连接到链表中的位置(索引从 0 开始)。 如果 pos 是 -1,则在该链表中没有环。注意:pos 不作为参数进行传递,仅仅是为了标识链表的实际情况。
如果链表中存在环,则返回 true 。 否则,返回 false 。
进阶:
你能用 O(1)(即,常量)内存解决此问题吗?
示例 :

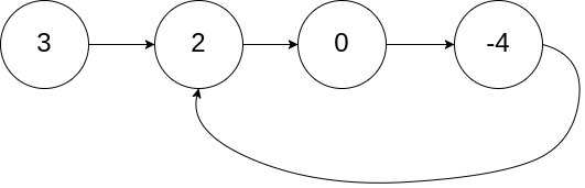
输入:head = [3,2,0,-4], pos = 1
输出:true
解释:链表中有一个环,其尾部连接到第二个节点。
最简单最经典的快慢指针:两个指针,一个每次前进两步,一个每次前进一步。如果不含有环,跑得快的那个指针最终会遇到 null,说明链表不含环;如果含有环,快指针最终会和慢指针相遇,说明链表含有环。
public class Solution { public boolean hasCycle(ListNode head) { if(head==null || head.next==null){ return false; } ListNode slow = head; ListNode fast = head.next; //快指针先行 while(slow != fast){ if(fast==null || fast.next==null){ return false; //快指针遍历到null则代表没有环 } slow = slow.next; fast = fast.next.next; } return true; } }
142.承接上一个题目,要求返回链表开始入环的第一个节点。当然也是要求用 O(1)内存解决此问题。
当然这主要是一个数学题,得到公式后就能得到答案。
推导过程如下:

任意时刻,fast 指针走过的距离都为 slow 指针的2倍。因此,我们有
a+(n+1)b+nc=2(a+b) ⟹ a=c+(n−1)(b+c)
b+c是一个整圈,因此,如果慢指针从相遇点继续往前走,与此同时另一个慢指针从起点开始走,则两个点肯定会在链表环入口相遇。
public class Solution { public ListNode detectCycle(ListNode head) { if(head==null || head.next==null){ return null; } ListNode slow = head; ListNode fast = head; while (fast != null && fast.next!=null){ slow = slow.next; fast = fast.next.next; if(slow == fast){ //相交点 //快指针重新指向头节点 fast = head; while (slow != fast) { //此时,两个都为慢指针,继续往前走,直到相遇 slow = slow.next; fast = fast.next; } return slow; } } return null; } }

浙公网安备 33010602011771号