机械制造作业考研题目答案分享——定位误差及其计算
Homework 6
版权声明
本内容由狂小虎原创整合,请不要售卖,为了防止爬虫以及保持免费性,设置为仅粉丝可见。另外,题目以及解释可能不完全正确,仅供参考,同时也欢迎各位在讨论区指点出内容的错误之处。
定位误差及其计算
- 版权声明
- 3.何谓定位误差?定位误差是由哪些因素引起的?定位误差的数值一般应控制在零件公差的什么范围内?
- 4.有一批图3.69所示零件,圆孔和平面均已加工合格,今在铣床上铣削宽度为b 的槽子。要求保证槽底到底面的距离为h ;槽侧面到A面的距离为a+ Δa,且与A面平行,图示定位方案是否合理?有无改进之处?试分析之。
- 5.有一批如图3.70所示工件,采用钻模夹具钻削工件上Φ5mm和Φ8mm两孔,除保证图纸尺寸要求外,还须保证两孔的连心线通过Φ60 mm的轴线,其偏移量公差为0.08 mm。现可采用如图b、c、d三种方案,若定位误差不得大于加工允差的1/2,试问这三种定位方案是否可行(α=90˚)?
- 6.有一批套类零件如图3.71a所示,欲在其上铣一键槽,试分析下述定位方案中,尺寸 、 、 的定位误差。
3.何谓定位误差?定位误差是由哪些因素引起的?定位误差的数值一般应控制在零件公差的什么范围内?
- The so-called location error is referred to the positional error between the machining surface and the operational datum caused by workpiece location.
- There two reasons that cause location error.
The confliction between the location datum and the operational datum. It is usually called the non-superposition datum error.
The manufacturing error of the location elements and the location datum. It is usually called the datum positional error. - In generally, location error should be lower than 1/3 times as dimensioning tolerance.
4.有一批图3.69所示零件,圆孔和平面均已加工合格,今在铣床上铣削宽度为b 的槽子。要求保证槽底到底面的距离为h ;槽侧面到A面的距离为a+ Δa,且与A面平行,图示定位方案是否合理?有无改进之处?试分析之。

Machining the groove should restrict 6 degrees of freedom of the workpiece. The big plane restricts
x
旋
,
y
旋
,
z
⃗
x旋, y旋 , z ⃗
x旋,y旋,z⃗, and cut side pin restricts
y
⃗
y ⃗
y⃗.
Improvement: on plane A, use one more support nail to ensure complete location.
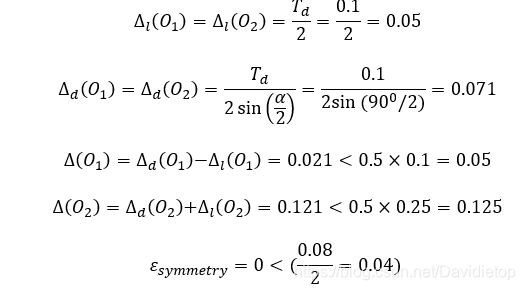
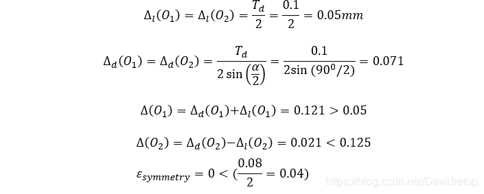
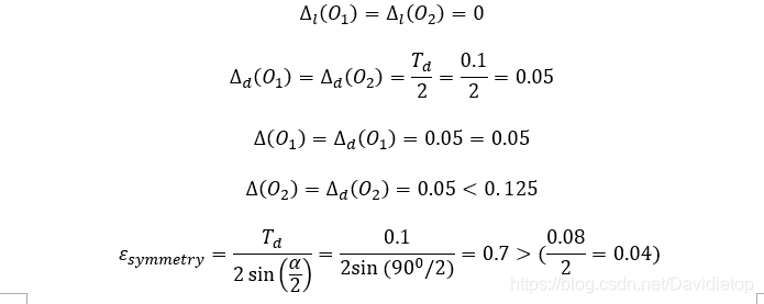
5.有一批如图3.70所示工件,采用钻模夹具钻削工件上Φ5mm和Φ8mm两孔,除保证图纸尺寸要求外,还须保证两孔的连心线通过Φ60 mm的轴线,其偏移量公差为0.08 mm。现可采用如图b、c、d三种方案,若定位误差不得大于加工允差的1/2,试问这三种定位方案是否可行(α=90˚)?

图3.70 (习题34图)
b) OK. V shape block A point as location datum.

c) NO. V shape block A point as location datum.

d) NO. Center axis of circle Φ60 as location datum.

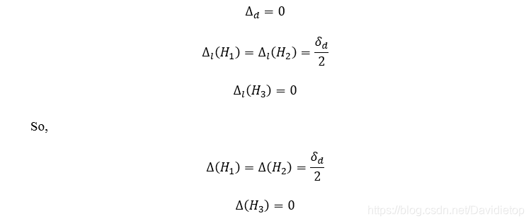
6.有一批套类零件如图3.71a所示,欲在其上铣一键槽,试分析下述定位方案中,尺寸 、 、 的定位误差。
(a) 在可涨心轴上定位(图b);
(b) 在处于垂直位置的刚性心轴上具有间隙的定位(图c),定位心轴直径
© 在处于水平位置的刚性心轴上具有间隙的定位(图c),定位心轴直径
(a) The datum positional error is not existed.

(b)

©


浙公网安备 33010602011771号