航空公司价值预测

import pandas as pd
datafile=r"C:\Users\Lenovo\Desktop\air_data.csv"
resultfile=r"D:\explore.csv"
data=pd.read_csv(datafile, encoding='utf-8')
explore=data.describe(percentiles=[],include='all').T
explore['null']=len(data)-explore['count']
explore=explore[['null','max','min']]
explore.columns=[u'空值数',u'最大值',u'最小值']
explore.to_csv(resultfile)
from datetime import datetime
import numpy as np
import pandas as pd
import matplotlib.pyplot as plt;
ffp=data['FFP_DATE'].apply(lambda x:datetime.strptime(x,'%Y/%m/%d'))
ffp_year=ffp.map(lambda x : x.year)
#绘制各年份会员入会人数直方图
fig=plt.figure(figsize=(8,5))
plt.rcParams['font.sans-serif']='SimHei'
plt.rcParams['axes.unicode_minus']=False
plt.hist(ffp_year,bins='auto',color='#0504aa')
plt.xlabel('年份')
plt.ylabel('入会人数')
plt.title('各年份会员入会人数3124')
plt.show()
plt.close

 

 

 

#提取会员不同性别人数
male=pd.value_counts(data['GENDER'])['']
female=pd.value_counts(data['GENDER'])['']
#绘制会员性别比例饼图
fig=plt.figure(figsize=(7,4))
plt.pie([male,female],labels=['',''],colors=['lightskyblue','lightcoral'],autopct='%1.1f%%')
plt.title('会员性别比例3124')
plt.show()
plt.close

 

 

 

#提取不同级别会员的人数
lv_four=pd.value_counts(data['FFP_TIER'])[4]
lv_five=pd.value_counts(data['FFP_TIER'])[5]
lv_six=pd.value_counts(data['FFP_TIER'])[6]
#绘制会员各级别人数条形图
fig=plt.figure(figsize=(8,5))
plt.bar(x=range(3),height=[lv_four,lv_five,lv_six],width=0.4,alpha=0.8,color='skyblue')
plt.xticks([index for index in range(3)],['4','5','6'])
plt.xlabel('会员等级')
plt.ylabel('会员人数')
plt.title('会员各级别人数3124')
plt.show()
plt.close()

 

 

 

#提取会员年龄
age=data['AGE'].dropna()
age=age.astype('int64')
#绘制会员年龄分布箱型图
fig=plt.figure(figsize=(5,10))
plt.boxplot(age,patch_artist=True,labels=['会员年龄'],boxprops={'facecolor':'lightblue'})
plt.title('会员年龄分布箱型图3124')
plt.grid(axis='y')
plt.show()
plt.close

lte=data['LAST_TO_END']
fc=data['FLIGHT_COUNT']
sks=data['SEG_KM_SUM']
#绘制最后乘机至结束时长箱型图
fig=plt.figure(figsize=(5,8))
plt.boxplot(lte,patch_artist=True,labels=['时长'],boxprops={'facecolor':'lightblue'})
plt.title('会员最后乘机至结束时长分布箱型图3124')
plt.grid(axis='y')
plt.show()
plt.close

 

 #绘制客户飞行次数箱型图
fig=plt.figure(figsize=(5,8))
plt.boxplot(fc,patch_artist=True,labels=['飞行次数'],boxprops={'facecolor':'lightblue'})
plt.title('会员飞行次数分布箱型图3124')
plt.grid(axis='y')
plt.show()
plt.close

 

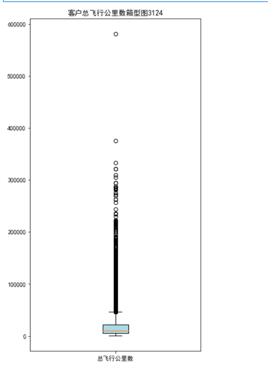
 #绘制客户总飞行公里数箱型图
fig=plt.figure(figsize=(5,10))
plt.boxplot(sks,patch_artist=True,labels=['总飞行公里数'],boxprops={'facecolor':'lightblue'})
plt.title('客户总飞行公里数箱型图3124')
plt.show()
plt.close

 

 

 

ec=data['EXCHANGE_COUNT']
#绘制会员兑换积分次数直方图
fig=plt.figure(figsize=(8,5))
plt.hist(ec,bins=5,color='#0504aa')
plt.xlabel('兑换次数')
plt.ylabel('会员人数')
plt.title('会员兑换积分次数分布直方图3124')
plt.show()
plt.close

 

#提取会员总累计积分
ps=data['Points_Sum']
#绘制会员总乐基积分箱型图
fig=plt.figure(figsize=(5,8))
plt.boxplot(ps,patch_artist=True,labels=['总累计积分'],boxprops={'facecolor':'lightblue'})
plt.title('客户总累计积分箱型图3124')
plt.show()
plt.close
#

#提取属性并合并为新数据集
data_corr=data[['FFP_TIER','FLIGHT_COUNT','LAST_TO_END','SEG_KM_SUM','EXCHANGE_COUNT','Points_Sum']]
age1=data['AGE'].fillna(0)
data_corr['AGE']=age1.astype('int64')
data_corr['ffp_year']=ffp_year
#计算相关性矩阵
dt_corr=data_corr.corr(method='pearson')
print('相关性矩阵为:\n',dt_corr)
#绘制热力图
import seaborn as sns
plt.title("3124")
plt.subplots(figsize=(10,10))
sns.heatmap(dt_corr,annot=True,vmax=1,square=True,cmap='Blues')
plt.show()
plt.close

import numpy as np
import pandas as pd

datafile=r'G:\data\data\air_data.csv'
cleanedfile=r'G:\data\data\data_cleaned.csv'
airline_data=pd.read_csv(datafile,encoding='utf-8')
print('原始数据的形状为:',airline_data.shape)
#去除票价为空的记录
airline_notnull=airline_data.loc[airline_data['SUM_YR_1'].notnull()&airline_data['SUM_YR_2'].notnull(),:]
print('删除确实记录后数据的形状为:',airline_notnull.shape)
#只保留票价非零的,或者平均折扣率部位0且总飞行公里数大于0的记录
index1=airline_notnull['SUM_YR_1']!=0
index2=airline_notnull['SUM_YR_2']!=0
index3=(airline_notnull['SEG_KM_SUM']>0)&(airline_notnull['avg_discount']!=0)
index4=airline_notnull['AGE']>100
airline=airline_notnull[(index1|index2)&index3&~index4]
print('数据清洗后数据的形状为:',airline.shape)
airline.to_csv(cleanedfile)

import pandas as pd
import numpy as np
cleanedfile=r'G:\data\data\data_cleaned.csv'
airline=pd.read_csv(cleanedfile,encoding='utf-8')
#选取需求属性
airline_selection=airline[['FFP_DATE','LOAD_TIME','LAST_TO_END','FLIGHT_COUNT','SEG_KM_SUM','avg_discount']]
print('筛选的属性前5行为:\n',airline_selection.head())

L=pd.to_datetime(airline_selection['LOAD_TIME'])-\
  pd.to_datetime(airline_selection['FFP_DATE'])
L=L.astype('str').str.split().str[0]
L=L.astype('int')/30
#合并属性
airline_features = pd.concat([L,airline_selection.iloc[:,2:]],axis = 1) #行合并
print('构建的LRFMC特征前5行为:\n',airline_features.head())
#数据标准化
from sklearn.preprocessing import StandardScaler
data = StandardScaler().fit_transform(airline_features)
np.savez(r'G:\data\data\airline_scale.npz',data)
print('标准化后LRFMC的5个属性为:\n',data[:5,:])


import pandas as pd
import numpy as np
import matplotlib.pyplot as plt
import seaborn as sns
plt.rcParams['font.sans-serif'] = ['SimHei']  # 用来正常显示中文标签
plt.rcParams['axes.unicode_minus'] = False  # 用来正常显示负号
import warnings
warnings.filterwarnings('ignore')

from scipy import stats
from sklearn.preprocessing import StandardScaler
from imblearn.over_sampling import SMOTE
from sklearn.model_selection import train_test_split, cross_val_score, GridSearchCV, KFold
from sklearn.feature_selection import RFE
from sklearn.linear_model import LogisticRegression
from sklearn.svm import SVC
from sklearn.ensemble import RandomForestClassifier, VotingClassifier, ExtraTreesClassifier
import xgboost as xgb
from sklearn import metrics
import prettytable

data = pd.read_csv(r'G:\data\data\WA_Fn-UseC_-Telco-Customer-Churn.csv')
print(data.head().T)
print(data.info())
data.drop("customerID", axis=1, inplace=True)
# 转换成连续型变量
data['TotalCharges'] = pd.to_numeric(data.TotalCharges, errors='coerce')
# 查看是否存在缺失值
data['TotalCharges'].isnull().sum()
# 查看缺失值分布
data.loc[data['TotalCharges'].isnull()].T
data.query("tenure == 0").shape[0]
data = data.query("tenure != 0")
# 重置索引
data = data.reset_index().drop('index',axis=1)
# 查看各类别特征频数
for i in data.select_dtypes(include="object").columns:
    print(data[i].value_counts())
    print('-'*50)
data.Churn = data.Churn.map({'No':0,'Yes':1})
fig, ax= plt.subplots(nrows=2, ncols=3, figsize = (20,8))
plt.title("3124")
for i, feature in enumerate(['tenure','MonthlyCharges','TotalCharges']):
    data.loc[data.Churn == 1, feature].hist(ax=ax[0][i], bins=30)
    data.loc[data.Churn == 0, feature].hist(ax=ax[1][i], bins=30, )
    ax[0][i].set_xlabel(feature+' Churn=0')
    ax[1][i].set_xlabel(feature+' Churn=1')
plt.show()

 

posted @ 2023-03-12 23:44  kioskl  阅读(38)  评论(0)    收藏  举报