【高精度乘法】Acwing793.高精度乘法
Acwing793

题解
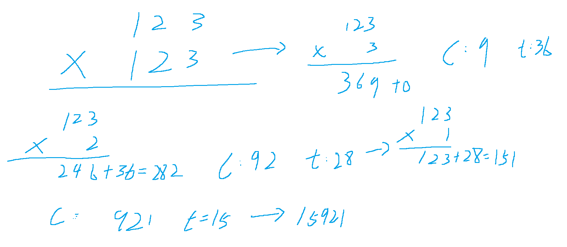
一种简化笔算的过程,让大数的逐位去乘小数即可

#include <iostream>
#include <vector>
using namespace std;
vector<int> mult(vector<int> &a, int b)
{
    vector<int> c;
    for(int i = 0, t = 0; i < a.size() || t; ++i)
    {
        if(i < a.size()) t += a[i] * b;
        c.push_back(t % 10);
        t /= 10;
    }
    while(c.back() == 0 && c.size() > 1) c.pop_back();
    return c;
}
int main()
{
    string a;
    int b;
    cin >> a >> b;
    vector<int> A;
    for(int i = a.size() - 1; i >= 0; --i) A.push_back(a[i] - '0');
    
    auto C = mult(A,b);
    for(int i = C.size()-1; i >= 0; --i) cout << C[i];
    cout << endl;
    return 0;
}

 
                
            
         
         浙公网安备 33010602011771号
浙公网安备 33010602011771号