
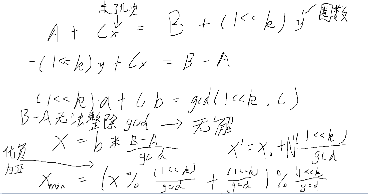
题解

代码
#include <iostream>
#include <cstdio>
using namespace std;
typedef long long LL;
LL exgcd(LL a,LL b,LL &x,LL &y)
{
if(!b){
x = 1, y = 0;
return a;
}
LL d = exgcd(b,a%b,y,x);
y -= a/b*x;
return d;
}
int main()
{
LL a,b,c,k;
while(scanf("%lld%lld%lld%lld",&a,&b,&c,&k))
{
if(a == 0 && b == 0 && c == 0 && k == 0)
break;
LL o = 1; //要用LL的1来移位不然下方用(1 << 32) 1默认为int会导致进制丢失
LL n = (o << k);
LL x,y;
LL gcd = exgcd(n,c,x,y);
if((b-a) % gcd){
puts("FOREVER");
}
else{
y *= (b-a)/gcd;
n /= gcd;
printf("%lld\n",(y % n + n)%n);
}
}
return 0;
}