• 博客园logo
  • 会员
  • 众包
  • 新闻
  • 博问
  • 闪存
  • 赞助商
  • HarmonyOS
  • Chat2DB
    • 搜索
      所有博客
    • 搜索
      当前博客
  • 写随笔 我的博客 短消息 简洁模式
    用户头像
    我的博客 我的园子 账号设置 会员中心 简洁模式 ... 退出登录
    注册 登录

cynchanpin

  • 博客园
  • 联系
  • 订阅
  • 管理

View Post

自适应尺寸变化的meanshift跟踪

近期在看meanshift方面的文章,看了一篇博文对这篇文章《Robust scale-adaptive meanshift for tracking》寄予非常高的评价,所以把这篇文章简要的读了一下。以下对这篇文章的核心思想和算法实现过程进行简要整理,由于这篇文章与我眼下项目的关系不是太大,所以就不正确这篇文章进行实现了。这篇文章就作为技术储备了。
文章在前面对meanshift的原理进行了整理和推倒。由于之前对meanshift已经有了初步了解。所以在这就不正确meanshift进行介绍了。主要介绍作者的算法。

meanshift尺寸预计

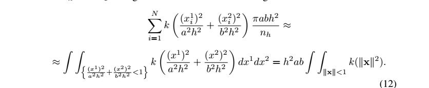
如果视频帧中目标尺寸是以同向的方式进行变化的,这里写图片描写叙述表示像素的位置,N表示图像中像素的个数,目标在图像中用椭圆区域表示为这里写图片描写叙述目标模型在特征这里写图片描写叙述概率密度表示为
这里写图片描写叙述
当中C是归一化參数。这里写图片描写叙述是当前帧运动目标像素的位置。目标的中心是位置y,採用同样的核密度函数。目标状态为
这里写图片描写叙述
h是目标当前状态的尺寸。


n1目标模板在椭圆区域内的像素个数,nh是目标当前状态在h尺寸下像素的个个数,则这里写图片描写叙述,则
这里写图片描写叙述
则Bya公式能够表示为
这里写图片描写叙述
依据meanshift原理,我们能够表示为
这里写图片描写叙述
这里写图片描写叙述

算法实现过程

MS(s)—Meanshift with regularize scale estimation
输入:目标模板直方图这里写图片描写叙述,開始位置这里写图片描写叙述,初始尺寸这里写图片描写叙述
输出:终止位置这里写图片描写叙述,终止时尺寸这里写图片描写叙述
t=1;
循环
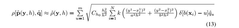
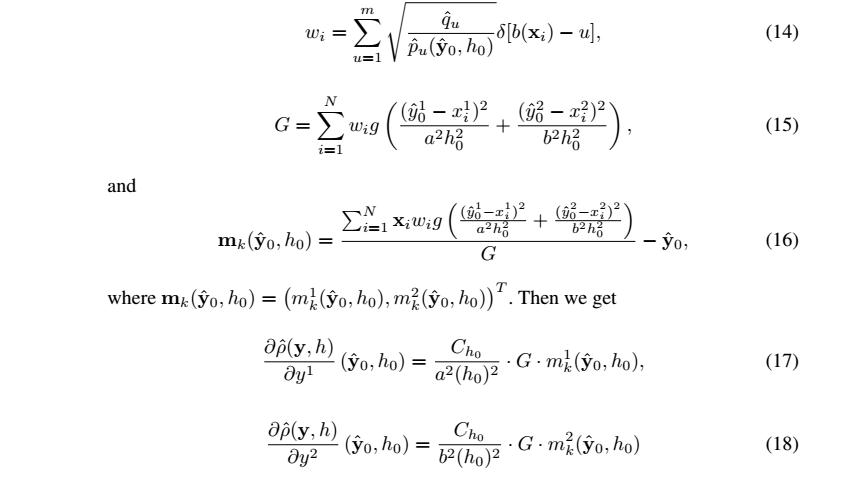
公式(10)计算这里写图片描写叙述。公式(14)计算权重这里写图片描写叙述;
依据公式(20)更新目标位置这里写图片描写叙述。
依据公式(21)得到的结果这里写图片描写叙述更新这里写图片描写叙述。
t=t+1;
这里写图片描写叙述
除了尺寸的更新这个过程与标准meanshift过程一样。在这里应用了两个參数,第一个这里写图片描写叙述 我们如果目标尺寸并没有剧烈的变化,因此我们对尺寸变化的处理例如以下(22)所看到的:
这里写图片描写叙述
当中尺寸參数h被界定在这里写图片描写叙述之间。


这里写图片描写叙述强迫搜索窗中包括一定比例的背景像素。这里写图片描写叙述的函数如(23)所看到的:
这里写图片描写叙述
这里写图片描写叙述表示搜索窗中背景像素所占的比例。

背景像素所占的权值例如以下计算:
这里写图片描写叙述
分子是目标模板这里写图片描写叙述的像素权重和。分母是全部像素的权重和。
MS(fd)—Meanshift with scale and backward consistency check
MS(s)对于视频中背景分布分散不适用,所以作者提出了返回确认尺寸的MS(fd)方法。通过t-1到t预计位置这里写图片描写叙述。用预计的位置进行t到t-1的位置和尺寸确认。这个确认过程保证了背景分散的尺寸预计不会崩溃,而且矫正跟踪错误。
算法过程:
输入:目标模板直方图这里写图片描写叙述。開始位置这里写图片描写叙述。初始尺寸这里写图片描写叙述;
输出:每一帧的位置和尺寸这里写图片描写叙述;
这里写图片描写叙述
作者实验过程中的參数为:
这里写图片描写叙述。这里写图片描写叙述,这里写图片描写叙述,这里写图片描写叙述,这里写图片描写叙述,这里写图片描写叙述。这里写图片描写叙述

posted on 2017-08-19 12:56  cynchanpin  阅读(1341)  评论(0)    收藏  举报

刷新页面返回顶部
 
博客园  ©  2004-2025
浙公网安备 33010602011771号 浙ICP备2021040463号-3