C++ LINUX系统编程笔记。
笔记
 
 
- getenv ()获取环境变量
- Kill -9 pid 杀死进程
- ps 查看进程信息
ps aux
ps ajx 查看进程之间血缘关系
- 创建多个子进程
 
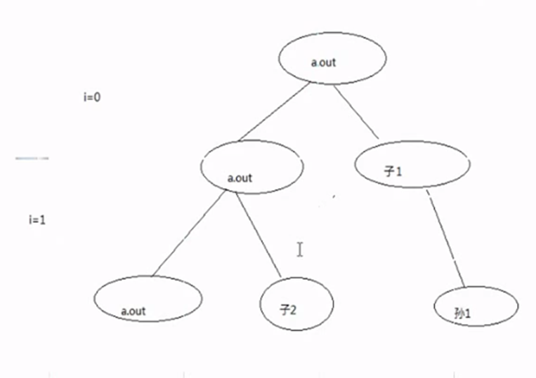
- 想创建五个,结果创建出32个。原因如下图:
 
解决办法,给子进程加一个break;
 
- 在此基础上,如何让子进程有序退出?
因为不同子进程里面的I 是不同的,父进程的i为6.所以可以加个sleep。
不同的子进程睡不同的时间
 
运行结果
 
P15
- 读时共享,写时复制

代码验证

运行结果

代码再验证,让父进程也改一下


p17
函数只有在执行出错的时候返回。
 
 

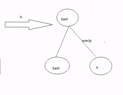
ls命令的实际操作
 

创建一个孤儿进程,父进程五秒钟后死,子进程则死亡,其父进程变为初始进程。
 
执行结果:

创建一个僵尸进程

执行结果,。
Z表示僵尸zombie,X表示dead。
 
----------------------------------------------------------------
- wait函数
 
实验代码

执行结果


- waitpid函数
 
 
- 用wait函数依次回收子进程


用waitpid回收子进程
 

 
                    
                 
                
            
         
         浙公网安备 33010602011771号
浙公网安备 33010602011771号