5.线性回归算法
1.本节重点知识点用自己的话总结出来,可以配上图片,以及说明该知识点的重要性
答:
监督学习分为回归和分类两大类,这次课学习回归算法,回归算法是分类方法的提升。
连续变量预测采用回归算法(如天气的温度);离散变量预测采用分类算法(如天气是阴,晴,还是雨)。

矩阵是大多数算法的计算基础,矩阵的这种运算正好满足了线性回归的这种需求(矩阵必须是二维的)。
机器预测和真实值也是有一定误差的。



梯度下降法对于机器学习中递归性逼近最小偏差模型非常重要,它帮助寻找最小的损失值,从而可以反推出对应的学习参数w和b,达到优化模型的效果。

2.思考线性回归算法可以用来做什么?
答:可以用来预测交通拥挤的时间段,从而为优化交通起到至关重要的作用。
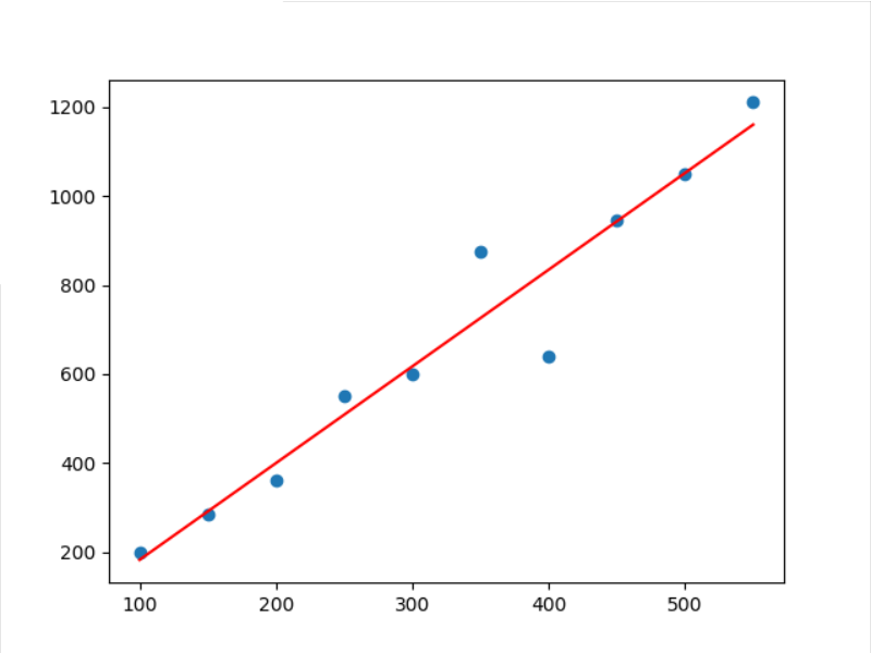
3.自主编写线性回归算法 ,数据可以自己造,或者从网上获取。
代码:
1 import numpy as np #导入numpy库 2 from sklearn.linear_model import LinearRegression #导入机器学习库中的线性回归模块 3 import matplotlib.pyplot as plt #导入matplotlib.pyplot绘图 4 5 X = np.array([100,150,200,250,300,350,400,450,500,550]) #X为房屋面积 6 Y = np.array([200,285,360,550,600,875,640,945,1050,1210]) #Y为房屋价格 7 8 #创建线性回归模型,通过房屋面积来预测价格 9 regr=LinearRegression() #创建线性回归模型,参数默认 10 regr.fit(X.reshape(-1,1),Y)#训练数据,将房屋面积作为x,价格作为y; 11 12 plt.scatter(X,Y) #画散点图看实际面积和价格的分布情况 13 plt.plot(X,regr.predict(X.reshape(-1,1)),color='red') #画预测的面积与价格的线型图 14 plt.show()
结果:


浙公网安备 33010602011771号