2.机器学习相关数学基础
1)贴上视频学习笔记,要求真实,不要抄袭,可以手写拍照。
1、概率论与贝叶斯先验


















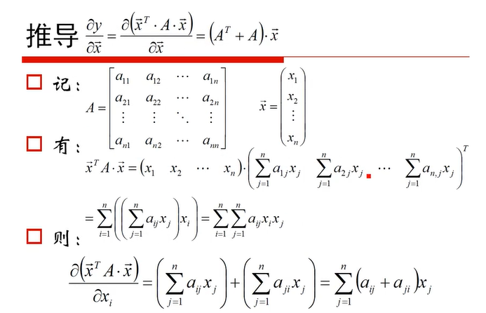
2、矩阵和线性代数

































2)用自己的话总结“梯度”,“梯度下降”和“贝叶斯定理”,可以word编辑,可做思维导图,可以手写拍照,要求言简意赅、排版整洁。

1)贴上视频学习笔记,要求真实,不要抄袭,可以手写拍照。
1、概率论与贝叶斯先验


















2、矩阵和线性代数

































2)用自己的话总结“梯度”,“梯度下降”和“贝叶斯定理”,可以word编辑,可做思维导图,可以手写拍照,要求言简意赅、排版整洁。
