最小费用最大流问题
什么是最小费用最大流
最小费用最大流问题,是指在图中找到一条费用最小的途径,同时它的流量最大。
用数学表示为,
\(x=(x_{ij})\)表示一个可行流
\(w=(w_{ij})\)表示单位通过改弧的费用
那么一个可行流的总费用为\(\sum_{(v_i,v_j)\in A}w_{ij}\cdot x_{ij}\)
最小费最大流问题相比单纯的最大流问题还有一个限制条件,总费用要最小,这就要求在调整流量的同时要让费用尽可能小。
线性规划语言描述
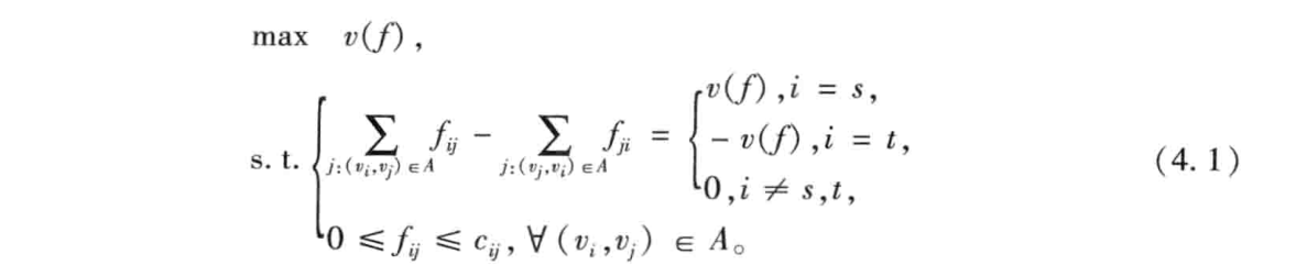
用数学规划的语言来解最小费用最大流为:

所以我们可以先求最大流,然后在发点、收点流量已知的情况下用线性规划求解最小费用。
matlab代码实现
以这张网络图为例

(u,v)分别表示网络的流量和费用。
%% 通过最大流算法求出最大流量% 定义网络容量矩阵
networkCapacity = [
0, 9, 5, 0, 0, 0;
0, 0, 2, 0, 0, 5;
0, 0, 0, 9, 0, 0;
0, 6, 0, 0, 0, 10;
8, 0, 7, 0, 0, 0;
0, 0, 0, 0, 0, 0
];
% 定义源点和汇点
sourceNode = 5;
sinkNode = 6;
% 调用最大流算法
[maxFlowValue, flowMatrix] = maxflow(networkCapacity, sourceNode, sinkNode);%求解结果为14,后面用得到.
%% 线性规划求最小费用
% 定义目标函数的系数向量
costCoefficients = [2; 8; 5; 2; 3; 1; 4; 6; 7];
% 定义等式约束的系数矩阵和常数向量,中间节点出入流量和为0
equalityConstraintsMatrix = [
1, 1, 0, 0, 0, 0, 0, 0, 0;
1, 0, -1, -1, 0, 0, 0, 0, 0;
0, 1, 1, 0, -1, 1, 0, 0, 0;
0, 0, 0, 1, 0, -1, 1, -1, 0;
0, 0, 0, 0, 1, 0, -1, 0, -1;
0, 0, 0, 0, 0, 0, 0, 1, 1
];
equalityConstraintsVector = [14; 0; 0; 0; 0; 14];%s,t点的初始流量最大
% 定义变量的下界和上界
variableLowerBounds = [0; 0; 0; 0; 0; 0; 0; 0; 0];
variableUpperBounds = [8; 7; 5; 9; 9; 2; 6; 5; 10];
% 调用 linprog 函数求解线性规划问题
[optimalSolution, optimalObjectiveValue, exitFlag, outputStructure] = ...
linprog(costCoefficients, [], [], equalityConstraintsMatrix, ...
equalityConstraintsVector, variableLowerBounds, variableUpperBounds);
% 显示结果
fprintf('Optimal solution:\n'); disp(optimalSolution);
fprintf('Optimal objective value:\n'); disp(optimalObjectiveValue);
fprintf('Exit flag:\n'); disp(exitFlag);
fprintf('Output structure:\n'); disp(outputStructure);

理解什么是最小费用最大流问题,侧重matlab数学规划解题。
浙公网安备 33010602011771号