Tarjan学习笔记
众所周知,Tarjan 可以用来求有向图的强连通分量,我们就不扯那些 dfs 生成树,前向边、返祖边之类的东西,直接步入正题。
准备工作
Tarjan 算法本质上是一次 dfs 的过程,我们用 \(dfn[u]\) 记录 \(u\) 结点被 dfs 到的顺序,用 \(low[u]\) 记录 \(u\) 能到达的所有结点中最小的 \(dfn\)(包括自己)(详细定义:能够回溯到的最早的已经在栈中的结点。设以 \(u\) 为根的子树为 \(subtree_u\),则 \(low[u]\) 定义为以下结点的 \(dfn\) 的最小值:\(subtree_u\) 中的结点;从 \(subtree_u\) 通过一条不在搜索树上的边能到达的结点。)。\(dfn\) 很好维护,dfs 的过程中记录一下即可。接下来为重头戏:\(low[u]\) 的维护与强联通分量的计算。
正式开始
考虑从一个结点 \(u\) 到另一个结点 \(v\) 的过程中会发生什么。
- 如果 \(v\) 在栈中(即那个节点还没计算完),那么 \(v\) 一定是 \(u\) 的祖先,则用 \(\mathbf{dfn}[v]\) 更新 \(low[u]\)。
- 如果 \(v\) 访问过且不在栈中(即计算完了),那么装作无事发生。
- 如果 \(v\) 还没被访问过,那么递归访问,用 \(\mathbf{low}[v]\) 更新 \(low[u]\)。
将 \(u\) 能直接到达的所有 \(v\) 都算完后,就可以计算强连通分量了。我们发现,如果一个结点算完后 \(low[u]=dfn[u]\),则说明:这个结点是当前强联通分量中最先到达的(即 \(dfn\) 最小的,称为这个强连通分量的根)

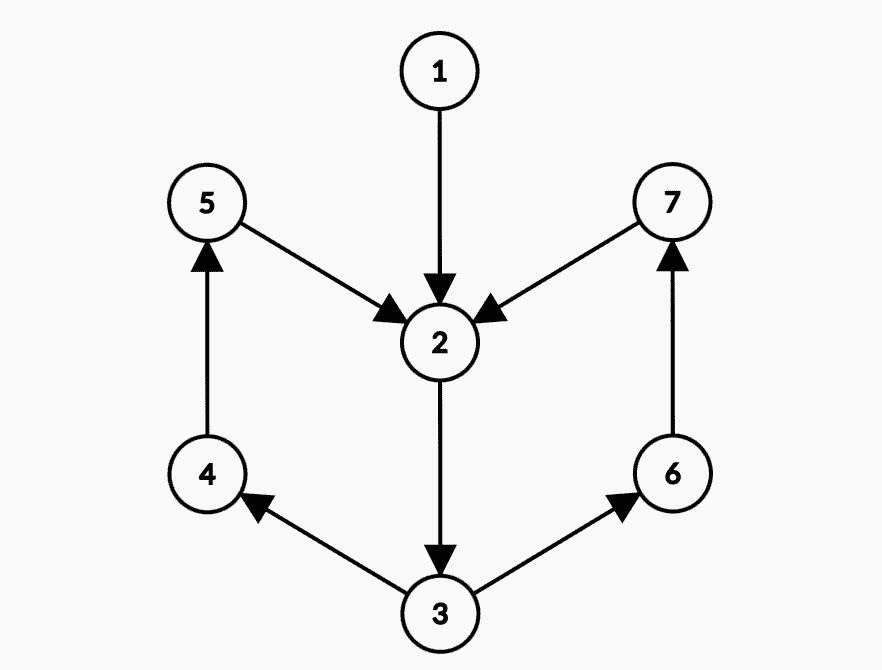
在这个图中,\(2\) 号节点就是强连通分量 \(\{2,3,4,5,6,7\}\) 中的根。
这时候,我们就可以处理 \(u\) 的强连通分量了!循环让结点出栈,直到栈顶元素为 \(u\) 自己(因为 \(u\) 是强连通分量的根,所以它一定是该强连通分量在栈中最靠前的),这些节点都在同一个以 \(u\) 为根的强连通分量里。
如果一个结点算完后 \(low[u]\ne dfn[u]\),则意味着它能到达一个它的祖先,我们暂时先不处理它,也不出栈(还没算完强连通分量怎么能出栈呢),直接返回,到他的那个强连通分量的根的时候再去算强连通分量。
代码实现
//num记录当前一共遍历了几个结点,用于计算新结点的dfn
//col[i]记录第节点i在哪个强连通分量里,root[i]表示i所在强连通分量的根
//colnum记录当前一共算完了几个强连通分量,用来计算新强连通分量的编号
int tarjan(int now) {
s.push(now),vis[now]=1;
low[now]=dfn[now]=++num;
for(int i=head[now];i;i=e[i].next)
if(!dfn[e[i].to])
low[now]=min(low[now],tarjan(e[i].to));
else if(vis[e[i].to])
low[now]=min(low[now],dfn[e[i].to]);
if(dfn[now]==low[now]) {
vis[now]=0;
col[now]=++colnum,root[now]=now;
while(s.top()!=now) {
col[s.top()]=colnum,root[s.top()]=now;
vis[s.top()]=0,s.pop();
}
s.pop();
}
return low[now];
}
扩展阅读
建议参考阅读这篇文章的手动模拟算法的部分,会有更直观的理解。
有兴趣看看更严谨的说明,请上 oi-wiki 观看。

浙公网安备 33010602011771号