#Deeplearning#人工智能导论学习笔记
什么是神经网络?
SNN用于回归预测数值,房价或在线广告投放等等
CNN用于图像处理
RNN用于音频和自然语言处理
RNNS用于大文本数据处理
自动驾驶则是多种神经网络组合
配套练习:https://hekuan.blog.csdn.net/article/details/79862336
神经网络基础和深度学习
深度学习指的就是训练神经网络
Relu:修正线性单元(修正指的是不取小于0的值)
输入需要分给每一个神经元,这个过程就叫全连接
监督学习(Supervised Learning)
需要真实的数据标签,即俗称的“拉框”等等由人工不断干预的
这是一个学习算法,已知输入一个图像特征向量x,输出y是一个概率,预测这个特征符合这个类的概率是多少,这需要在乘权重参数矩阵W后进sigmoid函数变换,使其值在0到1之间
结构化数据:每个数据都有清晰的定义
非结构化数据:图像、音频、文字等等


上图中,x周代表训练集大学或神经网络大小,y轴代表模型性能
规模能够显著影响模型的表现,想获得良好表现的条件不仅仅是模型规模大,训练集规模也要大
logistic回归算法
本节后面所有的讲解都是 用logistic回归作为背景的
该算法用于二分分类
提取图像的特征矩阵作为输入x,模型需要判断这个x是不是某个东西,是就输出1,不是就输出0,输出标签用y代表
输入标签x和输出标签y的矩阵表示,都用行堆叠,如果一个样本的维度是n,那么训而输出标签只有0或1,只需要按行排列在行矩阵里即可
m表示训练集的规模
详细:
前提是必须是二分类问题,非0即1
前面两个表达式可以合并为一个:
符号意义参照表及背景
下面的介绍以logistic回归函数为例,提取特征为2个或n个,样本个数为1或m
| a | W | z | y | y帽 | x | b | L或L(a,b) | da | m | n | i | J |
|---|---|---|---|---|---|---|---|---|---|---|---|---|
| sigmoid(z) | 权重参数(矩阵、向量) | 预测值(需要经过sigmoid激活函数变换) | 数据真实结果标签 | 模型预测结果标签(给定x输入下y=1的概率) | 输入数据 | 常数(矩阵,向量) | 损失函数 | L对a的导数(链式法则求导) | 样本数 | 特征数 | 样本编号 | 全局成本函数 |
损失函数Loss function
用于衡量预测输出y1和实际值y相差多少,它衡量了在单个训练样本上的表现
成本函数Cost function
用于衡量W和b在全体训练样本上的表现
其凸函数的性质决定了它具有全局最优解,而非多个局部最优解,因此选用凸函数作为成本函数
其大致操作是,在一次迭代中朝着下降最快(最陡)的方向走一步
梯度下降法
寻找使得cost function最小的W和b
1.对单一样本
让Cost函数始终沿着最“陡”的路径向下移动
权重更新算法:W = W - a*dw
a是学习率,dw是成本函数对w的导数

对b也是同样的方法,通过梯度削减b
涉及到多个变量需要链式求导法则

上图中,J对a求导需要经过dJ/dv * dv/da
2.对m个训练样本(训练集)
注意,这里是代码,并不是表示数学关系,dz,dw1,dw2,dwn...(一共n个特征)和db都需要累加,在for循环结束后,都要除以样本个数m,这里只有w1和w2两个权重参数矩阵,也就是说只会提取出两个特征,当有很多特征时,还需要再写一个循环将w1、w2...一直到wn的n个特征都做一次累加
实际上,显式for循环的效率非常低,难以高效处理大量数据,下面会介绍一种向量化的算法,避免使用for循环
导数及链式法则在反向传播中的应用
以logistic回归函数为例
注:这里log(a)指的就是以e为底(ln(a))
求导过程参见求导公式表
注:
- dL和d(a,y)表达的意思是一样的
- a是sigmoid函数,求导结果为a(1-a)
- 在编码实现时(Python),对w1的导数直接写成dw1,默认就是最终的损失函数L对w1求导,因为损失函数是我们最关心的最终结果
dw1用
*计算得到,在上图的左下角有写“ dw1 ” = x1dz ;这里的dz也不是数学中的dz,而是L对z的导数 ***
一次迭代中的更新方法为
注:alpha是学习率
向量化(vectorization)
以Python为例
两个大维度向量(100w)a和b用np.dot(a,b)计算,效率远高于用for将两个对于相乘,其原因是Python的内置函数库(numpy)支持并行,用基础函数库中专门用于向量计算的函数能够充分利用并行
向量化的运算耗时平均2.5ms,for循环平均耗时480ms
因此,能不显式用for循环的地方必须不用for循环,而是用库中函数或者用其他方法计算循环!!
所以对代码进行这样的改进:
原本的三个for循环(红色框)都可以用np.dot(a,b)代替,效率大幅提高

下面介绍如何将控制样本的for循环也替换掉,实现完全不使用显式for循环
前向传播计算过程表示如下
Python有一个特性,在矩阵后加常数,常数会自动扩展成一个常数矩阵,使其能和矩阵进行运算,同样的,Python也能高效做矩阵运算,两个矩阵可以直接相加减,不需要for循环
因此之前的代码可以用下面的向量运算全部表示
广播技术
例子:Python在面对矩阵加常数时,会把常数扩展成对应维度的矩阵,同样对于m × n的矩阵加1×n的矩阵时,Python也会把1×n的矩阵扩展成m × n的矩阵,然后对应元素相加
数据结构应该使用向量,即使它只有一行
a = np.random.rand(5,1);
a = np.random.rand(5);
上面两行代码的区别是,第一个a是列向量,第二个a是一个秩为1的数组,我们应该用第一个,因为向量的外积才是矩阵
必要时通过加入assert(a.shape == (5,1))确保数据结构是形状为(5,1)的列向量,这个函数执行非常快,几乎不会影响效率
第一周结束!
神经网络

[1]代表和第1层相关的量,右下角标表示特征/神经元编号
带角标的是和某个神经元相关
不带角标是这一层某个量组成的向量
叠加角标的顺序是:[1] (i) ;表示第1层第i个训练样本
大写字母表示对全体训练样本
小写字母表示对单一训练样本
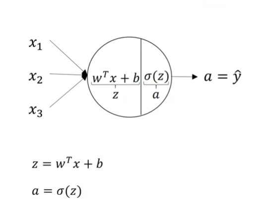
最简单的神经网络结构图(只有一个隐层,单一训练样本)
输入层、隐藏层、输出层共三层,但一般习惯上不认为输入层是一个标准层,因此这个网络在许多论文和课程中也称为双层神经网络
一个神经元中完成的计算如上图所示,和logistic回归很相似
注意:这里x1、x2和x3并不是一个数字,而是一个特征,是一个具有一定维度的向量
经过一次计算后得到的a称为激活值,作为下一次计算的输入,其上标代表它由哪层产出,有时候也把输入x看做是a[0],因此所有 x 都可以用 a[0] 代替(X用A代替),代替后会增加一个角标[0]
矩阵乘法规则:左矩阵列数 = 右矩阵行数
维度公式:
A×B * B×C = A × C
将神经元中的计算向量化方法如下图:
权重参数矩阵W是转置后按行堆叠的矩阵,维度为4x3 (4个神经元、3个特征输入,每个元素还有N个值),特征x为按列堆叠的矩阵,维度为3x1(3个特征,每个特征具有1个值)
最后一层(输出层)的W是1x4的,b是1x1的,因为这里最终要输出一个数字
对整个训练样本向量化如下图
整个训练样本构成的向量用大写表示,X、Z和A都进行了向量化
横向移动是遍历训练样本,纵向移动是遍历神经元
下面这张图,比较详细的演示了每一步计算后,形成的矩阵的样子
激活函数
影响学习速度,其利弊主要指标是导数和0的距离,导数约接近0,学习速度越慢
sigmoid函数几乎完全被tanh(双曲正切函数)碾压,因为它是sigmoid的平移版本,将中心点移到0了,因此绝大多数情况下不用sigmoid,除了二元分类,因为我们希望输出0到1之间的数
也可以在隐层之间用其他激活函数,最后的输出层用sigmoid,为此需要给函数做下标,标记方式为g[1] (z),[1]代表第一层
事实上,这两个函数在z很大时表现都不好(斜率趋近于0,反向传播出现梯度消失),最佳的选择是修正线性单元ReLU
ReLU(z) = max(0,z)
变体(效果有可能更好):Leaky ReLU(z) = max(0.01z,z)
值得一提的是,ReLU在z = 0 处并没有定义,但是这个概率很小,而且可以在z = 0时给导数赋值0或1
激活函数总结
输出0或1(二元分类):输出层用sigmoid,其他层都用ReLU
能不能不用激活函数,或者用线性激活函数?
不能!,不用激活函数或者用线性激活函数,无论你有多少隐藏层,模型复杂度和没有隐藏层一样,因为层与层之间只是线性运算的叠加,线性隐层一点用都没有
网络构建实践
正则化:避免过拟合
在回归logistic模型中,常用的正则化为L2正则化:一个比例系数×权重w的欧几里得范数(从w1至wnx累加平方和)
在神经网络中,进行L2正则化的方法是在全局成本函数J后加一个范数,简单来说就是比例系数 乘以 权重参数矩阵W的所有元素的平方和
学习公式后面也加上正则项 ,dw[l]要在原来的基础上(from backprop)加上正则项(第一行)。w的学习公式编程第二行所示


























浙公网安备 33010602011771号