数值最优化之单纯形法学习
2020-05-28
单纯形法的基本思想
先设法找出一个可行基,然后判断他对应的基可行解是不是最优的,如果是,问题解决;如果不是,就设法把现有的可行基换成一个更好的可行基。。。。直到问题解决为止。
两个需要解决的问题:
如何判断一个基可行解是否最优;
二是如何改进基可行解
最优基的判定
不妨设 B=(a1,...,an)

方程组Ax=b 可以写成:
BxB + NXn = b



f的值其实就是带入各个x 的值,然后计算。

上面这个也就是得到的单纯形表。
当λi <= 0的时候,可行基B就是最优基,B对应的解就是最优解。
(如何理解呢,你可以这样想
如果f(x0)比任何一个f(x)都小,那么就是所要求的最优值。f(x0)对应的值是f0,所以要达到要任意一个x值对应的函数值是
,所以如上,λ应该小于等于0.
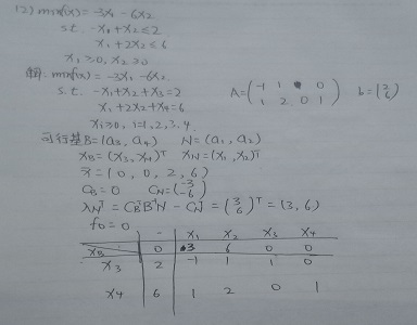
练习题:

αi 是xB 的各个分值。
注意:

λ和β是相对应的,也可以直接看表,就是xN 上的检验数大于0.然后这个检验数所在的列式对应的β值
xN 才对应着检验数。(可以看下上面关于检验数求法的介绍)
浙公网安备 33010602011771号