数据结构基础知识总结
参考Guide哥的线性数据结构 :数组、链表、栈、队列 | JavaGuide,感谢Guide哥!
线性数据结构 :数组、链表、栈、队列
1. 数组
数组(Array) 是一种很常见的数据结构。它由相同类型的元素(element)组成,并且是使用一块连续的内存来存储。我们直接可以利用元素的索引(index)可以计算出该元素对应的存储地址。
数组的特点是:提供随机访问 并且容量有限。
假如数组的长度为 n。
访问:O(1)//访问特定位置的元素
插入:O(n )//最坏的情况发生在插入发生在数组的首部并需要移动所有元素时
删除:O(n)//最坏的情况发生在删除数组的开头发生并需要移动第一元素后面所有的元素时

2. 链表
2.1. 链表简介
链表(LinkedList) 虽然是一种线性表,但是并不会按线性的顺序存储数据,使用的不是连续的内存空间来存储数据。链表的插入和删除操作的复杂度为 O(1) ,只需要知道目标位置元素的上一个元素即可。但是,在查找一个节点或者访问特定位置的节点的时候复杂度为 O(n) 。
使用链表结构可以克服数组需要预先知道数据大小的缺点,链表结构可以充分利用计算机内存空间,实现灵活的内存动态管理。但链表不会节省空间,相比于数组会占用更多的空间,因为链表中每个节点存放的还有指向其他节点的指针。除此之外,链表不具有数组随机读取的优点。
2.2. 链表分类
常见链表分类:
- 单链表
- 双向链表
- 循环链表
- 双向循环链表
假如链表中有n个元素。
访问:O(n)//访问特定位置的元素
插入删除:O(1)//必须要要知道插入元素的位置
2.2.1. 单链表
单链表 单向链表只有一个方向,结点只有一个后继指针 next 指向后面的节点。因此,链表这种数据结构通常在物理内存上是不连续的。我们习惯性地把第一个结点叫作头结点,链表通常有一个不保存任何值的 head 节点(头结点),通过头结点我们可以遍历整个链表。尾结点通常指向 null。

2.2.2. 循环链表
循环链表 其实是一种特殊的单链表,和单链表不同的是循环链表的尾结点不是指向 null,而是指向链表的头结点。

2.2.3. 双向链表
双向链表 包含两个指针,一个 prev 指向前一个节点,一个 next 指向后一个节点。

2.2.4. 双向循环链表
双向循环链表 最后一个节点的 next 指向 head,而 head 的 prev 指向最后一个节点,构成一个环

2.3. 应用场景
- 如果需要支持随机访问的话,链表没办法做到。
- 如果需要存储的数据元素的个数不确定,并且需要经常添加和删除数据的话,使用链表比较合适。
- 如果需要存储的数据元素的个数确定,并且不需要经常添加和删除数据的话,使用数组比较合适。
2.4. 数组 vs 链表
- 数组支持随机访问,而链表不支持。
- 数组使用的是连续内存空间对 CPU 的缓存机制友好,链表则相反。
- 数组的大小固定,而链表则天然支持动态扩容。如果声明的数组过小,需要另外申请一个更大的内存空间存放数组元素,然后将原数组拷贝进去,这个操作是比较耗时的!
3. 栈
3.1. 栈简介
栈 (stack)只允许在有序的线性数据集合的一端(称为栈顶 top)进行加入数据(push)和移除数据(pop)。因而按照 后进先出(LIFO, Last In First Out) 的原理运作。在栈中,push 和 pop 的操作都发生在栈顶。栈常用一维数组或链表来实现,用数组实现的栈叫作 顺序栈 ,用链表实现的栈叫作 链式栈 。
假设堆栈中有n个元素。
访问:O(n)//最坏情况
插入删除:O(1)//顶端插入和删除元素

3.2. 栈的常见应用常见应用场景
当我们我们要处理的数据只涉及在一端插入和删除数据,并且满足 后进先出(LIFO, Last In First Out) 的特性时,我们就可以使用栈这个数据结构。
3.2.1. 实现浏览器的回退和前进功能
我们只需要使用两个栈(Stack1 和 Stack2)和就能实现这个功能。比如你按顺序查看了 1,2,3,4 这四个页面,我们依次把 1,2,3,4 这四个页面压入 Stack1 中。当你想回头看 2 这个页面的时候,你点击回退按钮,我们依次把 4,3 这两个页面从 Stack1 弹出,然后压入 Stack2 中。假如你又想回到页面 3,你点击前进按钮,我们将 3 页面从 Stack2 弹出,然后压入到 Stack1 中。示例图如下:

3.2.2. 检查符号是否成对出现
给定一个只包括
'(',')','{','}','[',']'的字符串,判断该字符串是否有效。有效字符串需满足:
- 左括号必须用相同类型的右括号闭合。
- 左括号必须以正确的顺序闭合。
比如 "()"、"()[]{}"、"{[]}" 都是有效字符串,而 "(]" 、"([)]" 则不是。
这个问题实际是 Leetcode 的一道题目,我们可以利用栈 Stack 来解决这个问题。
- 首先我们将括号间的对应规则存放在
Map中,这一点应该毋容置疑; - 创建一个栈。遍历字符串,如果字符是左括号就直接加入
stack中,否则将stack的栈顶元素与这个括号做比较,如果不相等就直接返回 false。遍历结束,如果stack为空,返回true。
public boolean isValid(String s){
// 括号之间的对应规则
HashMap<Character, Character> mappings = new HashMap<Character, Character>();
mappings.put(')', '(');
mappings.put('}', '{');
mappings.put(']', '[');
Stack<Character> stack = new Stack<Character>();
char[] chars = s.toCharArray();
for (int i = 0; i < chars.length; i++) {
if (mappings.containsKey(chars[i])) {
char topElement = stack.empty() ? '#' : stack.pop();
if (topElement != mappings.get(chars[i])) {
return false;
}
} else {
stack.push(chars[i]);
}
}
return stack.isEmpty();
}
3.2.3. 反转字符串
将字符串中的每个字符先入栈再出栈就可以了。
3.2.4. 维护函数调用
最后一个被调用的函数必须先完成执行,符合栈的 后进先出(LIFO, Last In First Out) 特性。
3.3. 栈的实现
栈既可以通过数组实现,也可以通过链表来实现。不管基于数组还是链表,入栈、出栈的时间复杂度都为 O(1)。
下面我们使用数组来实现一个栈,并且这个栈具有push()、pop()(返回栈顶元素并出栈)、peek() (返回栈顶元素不出栈)、isEmpty()、size()这些基本的方法。
提示:每次入栈之前先判断栈的容量是否够用,如果不够用就用
Arrays.copyOf()进行扩容;
public class MyStack {
private int[] storage;//存放栈中元素的数组
private int capacity;//栈的容量
private int count;//栈中元素数量
private static final int GROW_FACTOR = 2;
//不带初始容量的构造方法。默认容量为8
public MyStack() {
this.capacity = 8;
this.storage=new int[8];
this.count = 0;
}
//带初始容量的构造方法
public MyStack(int initialCapacity) {
if (initialCapacity < 1)
throw new IllegalArgumentException("Capacity too small.");
this.capacity = initialCapacity;
this.storage = new int[initialCapacity];
this.count = 0;
}
//入栈
public void push(int value) {
if (count == capacity) {
ensureCapacity();
}
storage[count++] = value;
}
//确保容量大小
private void ensureCapacity() {
int newCapacity = capacity * GROW_FACTOR;//每次扩容都是扩成原来的两倍
storage = Arrays.copyOf(storage, newCapacity);
capacity = newCapacity;
}
//返回栈顶元素并出栈
private int pop() {
if (count == 0)
throw new IllegalArgumentException("Stack is empty.");
count--;
return storage[count];
}
//返回栈顶元素不出栈
private int peek() {
if (count == 0){
throw new IllegalArgumentException("Stack is empty.");
}else {
return storage[count-1];
}
}
//判断栈是否为空
private boolean isEmpty() {return count == 0;}
//返回栈中元素的个数
private int size() {return count;}
}
4. 队列
4.1. 队列简介
队列 是 先进先出( FIFO,First In, First Out) 的线性表。在具体应用中通常用链表或者数组来实现,用数组实现的队列叫作 顺序队列 ,用链表实现的队列叫作 链式队列 。队列只允许在后端(rear)进行插入操作也就是 入队 enqueue,在前端(front)进行删除操作也就是出队 dequeue
队列的操作方式和堆栈类似,唯一的区别在于队列只允许新数据在后端进行添加。
假设队列中有n个元素。
访问:O(n)//最坏情况
插入删除:O(1)//后端插入前端删除元素

4.2. 队列分类
4.2.1. 单队列
单队列就是常见的队列, 每次添加元素时,都是添加到队尾。单队列又分为 顺序队列(数组实现) 和 链式队列(链表实现)。
顺序队列存在“假溢出”的问题也就是明明有位置却不能添加的情况。
假设下图是一个顺序队列,我们将前两个元素 1,2 出队,并入队两个元素 7,8。当进行入队、出队操作的时候,front 和 rear 都会持续往后移动,当 rear 移动到最后的时候,我们无法再往队列中添加数据,即使数组中还有空余空间,这种现象就是 ”假溢出“ 。除了假溢出问题之外,如下图所示,当添加元素 8 的时候,rear 指针移动到数组之外(越界)。
为了避免当只有一个元素的时候,队头和队尾重合使处理变得麻烦,所以引入两个指针,front 指针指向队头元素,rear 指针指向队列最后一个元素的下一个位置,这样当 front 等于 rear 时,此队列不是还剩一个元素,而是空队列。——From 《大话数据结构》

4.2.2. 循环队列
循环队列可以解决顺序队列的假溢出和越界问题。解决办法就是:从头开始,这样也就会形成头尾相接的循环,这也就是循环队列名字的由来。还是用上面的图,我们将 rear 指针指向数组下标为 0 的位置就不会有越界问题了。当我们再向队列中添加元素的时候, rear 向后移动。

顺序队列中,我们说 front==rear 的时候队列为空,循环队列中则不一样,也可能为满,如上图所示。解决办法有两种:
- 可以设置一个标志变量
flag,当front==rear并且flag=0的时候队列为空,当front==rear并且flag=1的时候队列为满。 - 队列为空的时候就是
front==rear,队列满的时候,我们保证数组还有一个空闲的位置,rear 就指向这个空闲位置,如下图所示,那么现在判断队列是否为满的条件就是:(rear+1) % QueueSize= front。

4.3. 常见应用场景
当我们需要按照一定顺序来处理数据的时候可以考虑使用队列这个数据结构。
- 阻塞队列: 阻塞队列可以看成在队列基础上加了阻塞操作的队列。当队列为空的时候,出队操作阻塞,当队列满的时候,入队操作阻塞。使用阻塞队列我们可以很容易实现“生产者 - 消费者“模型。
- 线程池中的请求/任务队列: 线程池中没有空闲线程时,新的任务请求线程资源时,线程池该如何处理呢?答案是将这些请求放在队列中,当有空闲线程的时候,会循环中反复从队列中获取任务来执行。队列分为无界队列(基于链表)和有界队列(基于数组)。无界队列的特点就是可以一直入列,除非系统资源耗尽,比如 :
FixedThreadPool使用无界队列LinkedBlockingQueue。但是有界队列就不一样了,当队列满的话后面再有任务/请求就会拒绝,在 Java 中的体现就是会抛出java.util.concurrent.RejectedExecutionException异常。 - Linux 内核进程队列(按优先级排队)
- 现实生活中的派对,播放器上的播放列表;
- 消息队列
- 等等......
图
图是一种较为复杂的非线性结构。 为啥说其较为复杂呢?
根据前面的内容,我们知道:
- 线性数据结构的元素满足唯一的线性关系,每个元素(除第一个和最后一个外)只有一个直接前趋和一个直接后继。
- 树形数据结构的元素之间有着明显的层次关系。
但是,图形结构的元素之间的关系是任意的。
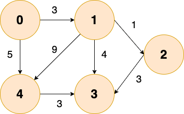
何为图呢? 简单来说,图就是由顶点的有穷非空集合和顶点之间的边组成的集合。通常表示为:G(V,E),其中,G表示一个图,V表示顶点的集合,E表示边的集合。下图所展示的就是图这种数据结构,并且还是一张有向图。

图的基本概念
顶点
图中的数据元素,我们称之为顶点,图至少有一个顶点(非空有穷集合)。对应到好友关系图,每一个用户就代表一个顶点。
边
顶点之间的关系用边表示。对应到好友关系图,两个用户是好友的话,那两者之间就存在一条边。
度
度表示一个顶点包含多少条边,在有向图中,还分为出度和入度,出度表示从该顶点出去的边的条数,入度表示进入该顶点的边的条数。对应到好友关系图,度就代表了某个人的好友数量。
无向图和有向图
边表示的是顶点之间的关系,有的关系是双向的,比如同学关系,A是B的同学,那么B也肯定是A的同学,那么在表示A和B的关系时,就不用关注方向,用不带箭头的边表示,这样的图就是无向图。
有的关系是有方向的,比如父子关系,师生关系,微博的关注关系,A是B的爸爸,但B肯定不是A的爸爸,A关注B,B不一定关注A。在这种情况下,我们就用带箭头的边表示二者的关系,这样的图就是有向图。
无权图和带权图
对于一个关系,如果我们只关心关系的有无,而不关心关系有多强,那么就可以用无权图表示二者的关系。对于一个关系,如果我们既关心关系的有无,也关心关系的强度,比如描述地图上两个城市的关系,需要用到距离,那么就用带权图来表示,带权图中的每一条边一个数值表示权值,代表关系的强度。
下图就是一个带权有向图。

图的存储
邻接矩阵存储
邻接矩阵将图用二维矩阵存储,是一种较为直观的表示方式。如果第i个顶点和第j个顶点之间有关系,且关系权值为n,则 A[i][j]=n 。在无向图中,我们只关心关系的有无,所以当顶点i和顶点j有关系时,A[i][j]=1,当顶点i和顶点j没有关系时,A[i][j]=0。如下图所示:

值得注意的是:无向图的邻接矩阵是一个对称矩阵,因为在无向图中,顶点i和顶点j有关系,则顶点j和顶点i必有关系。

邻接矩阵存储的方式优点是简单直接(直接使用一个二维数组即可),并且,在获取两个定点之间的关系的时候也非常高效(直接获取指定位置的数组元素的值即可)。但是,这种存储方式的缺点也比较明显,那就是比较浪费空间。
邻接表存储
针对上面邻接矩阵比较浪费内存空间的问题,诞生了图的另外一种存储方法—邻接表 。
邻接链表使用一个链表来存储某个顶点的所有后继相邻顶点。对于图中每个顶点Vi,把所有邻接于Vi的顶点Vj链成一个单链表,这个单链表称为顶点Vi的 邻接表。如下图所示:


大家可以数一数邻接表中所存储的元素的个数以及图中边的条数,你会发现:
- 在无向图中,邻接表元素个数等于边的条数的两倍,如左图所示的无向图中,边的条数为7,邻接表存储的元素个数为14。
- 在有向图中,邻接表元素个数等于边的条数,如右图所示的有向图中,边的条数为8,邻接表存储的元素个数为8。
图的搜索
广度优先搜索
广度优先搜索就像水面上的波纹一样一层一层向外扩展,如下图所示:

广度优先搜索的具体实现方式用到了之前所学过的线性数据结构——队列 。具体过程如下图所示:
第1步:

第2步:

第3步:

第4步:

第5步:

第6步:

深度优先搜索
深度优先搜索就是“一条路走到黑”,从源顶点开始,一直走到没有后继节点,才回溯到上一顶点,然后继续“一条路走到黑”,如下图所示:

和广度优先搜索类似,深度优先搜索的具体实现用到了另一种线性数据结构——栈 。具体过程如下图所示:
第1步:

第2步:

第3步:

第4步:

第5步:

第6步:

堆
什么是堆
堆是一种满足以下条件的树:
堆中的每一个节点值都大于等于(或小于等于)子树中所有节点的值。或者说,任意一个节点的值都大于等于(或小于等于)所有子节点的值。
!!!特别提示:
- 很多博客说堆是完全二叉树,其实并非如此,堆不一定是完全二叉树,只是为了方便存储和索引,我们通常用完全二叉树的形式来表示堆,事实上,广为人知的斐波那契堆和二项堆就不是完全二叉树,它们甚至都不是二叉树。
- (二叉)堆是一个数组,它可以被看成是一个 近似的完全二叉树。——《算法导论》第三版
大家可以尝试判断下面给出的图是否是堆?

第1个和第2个是堆。第1个是最大堆,每个节点都比子树中所有节点大。第2个是最小堆,每个节点都比子树中所有节点小。第3个不是,第三个中,根结点1比2和15小,而15却比3大,19比5大,不满足堆的性质。
堆的用途
当我们只关心所有数据中的最大值或者最小值,存在多次获取最大值或者最小值,多次插入或删除数据时,就可以使用堆。
有小伙伴可能会想到用有序数组,初始化一个有序数组时间复杂度是 O(nlog(n)),查找最大值或者最小值时间复杂度都是 O(1),但是,涉及到更新(插入或删除)数据时,时间复杂度为 O(n),即使是使用复杂度为 O(log(n)) 的二分法找到要插入或者删除的数据,在移动数据时也需要 O(n) 的时间复杂度。
相对于有序数组而言,堆的主要优势在于更新数据效率较高。 堆的初始化时间复杂度为 O(nlog(n)),堆可以做到O(1)时间复杂度取出最大值或者最小值,O(log(n))时间复杂度插入或者删除数据,具体操作在后续章节详细介绍。
堆的分类
堆分为 最大堆 和 最小堆。二者的区别在于节点的排序方式。
- 最大堆 :堆中的每一个节点的值都大于等于子树中所有节点的值
- 最小堆 :堆中的每一个节点的值都小于等于子树中所有节点的值
如下图所示,图1是最大堆,图2是最小堆

堆的存储
之前介绍树的时候说过,由于完全二叉树的优秀性质,利用数组存储二叉树即节省空间,又方便索引(若根结点的序号为1,那么对于树中任意节点i,其左子节点序号为 2*i,右子节点序号为 2*i+1)。
为了方便存储和索引,(二叉)堆可以用完全二叉树的形式进行存储。存储的方式如下图所示:

堆的操作
堆的更新操作主要包括两种 : 插入元素 和 删除堆顶元素。操作过程需要着重掌握和理解。
在进入正题之前,再重申一遍,堆是一个公平的公司,有能力的人自然会走到与他能力所匹配的位置
插入元素
插入元素,作为一个新入职的员工,初来乍到,这个员工需要从基层做起
1.将要插入的元素放到最后

有能力的人会逐渐升职加薪,是金子总会发光的!!!
2.从底向上,如果父结点比该元素小,则该节点和父结点交换,直到无法交换


删除堆顶元素
根据堆的性质可知,最大堆的堆顶元素为所有元素中最大的,最小堆的堆顶元素是所有元素中最小的。当我们需要多次查找最大元素或者最小元素的时候,可以利用堆来实现。
删除堆顶元素后,为了保持堆的性质,需要对堆的结构进行调整,我们将这个过程称之为"堆化",堆化的方法分为两种:
- 一种是自底向上的堆化,上述的插入元素所使用的就是自底向上的堆化,元素从最底部向上移动。
- 另一种是自顶向下堆化,元素由最顶部向下移动。在讲解删除堆顶元素的方法时,我将阐述这两种操作的过程,大家可以体会一下二者的不同。
自底向上堆化
在堆这个公司中,会出现老大离职的现象,老大离职之后,他的位置就空出来了
首先删除堆顶元素,使得数组中下标为1的位置空出。

那么他的位置由谁来接替呢,当然是他的直接下属了,谁能力强就让谁上呗
比较根结点的左子节点和右子节点,也就是下标为2,3的数组元素,将较大的元素填充到根结点(下标为1)的位置。

这个时候又空出一个位置了,老规矩,谁有能力谁上
一直循环比较空出位置的左右子节点,并将较大者移至空位,直到堆的最底部

这个时候已经完成了自底向上的堆化,没有元素可以填补空缺了,但是,我们可以看到数组中出现了“气泡”,这会导致存储空间的浪费。接下来我们试试自顶向下堆化。
自顶向下堆化
自顶向下的堆化用一个词形容就是“石沉大海”,那么第一件事情,就是把石头抬起来,从海面扔下去。这个石头就是堆的最后一个元素,我们将最后一个元素移动到堆顶。

然后开始将这个石头沉入海底,不停与左右子节点的值进行比较,和较大的子节点交换位置,直到无法交换位置。


堆的操作总结
- 插入元素 :先将元素放至数组末尾,再自底向上堆化,将末尾元素上浮
- 删除堆顶元素 :删除堆顶元素,将末尾元素放至堆顶,再自顶向下堆化,将堆顶元素下沉。也可以自底向上堆化,只是会产生“气泡”,浪费存储空间。最好采用自顶向下堆化的方式。
堆排序
堆排序的过程分为两步:
- 第一步是建堆,将一个无序的数组建立为一个堆
- 第二步是排序,将堆顶元素取出,然后对剩下的元素进行堆化,反复迭代,直到所有元素被取出为止。
建堆
如果你已经足够了解堆化的过程,那么建堆的过程掌握起来就比较容易了。建堆的过程就是一个对所有非叶节点的自顶向下堆化过程。
首先要了解哪些是非叶节点,最后一个节点的父结点及它之前的元素,都是非叶节点。也就是说,如果节点个数为n,那么我们需要对n/2到1的节点进行自顶向下(沉底)堆化。
具体过程如下图:

将初始的无序数组抽象为一棵树,图中的节点个数为6,所以4,5,6节点为叶节点,1,2,3节点为非叶节点,所以要对1-3号节点进行自顶向下(沉底)堆化,注意,顺序是从后往前堆化,从3号节点开始,一直到1号节点。 3号节点堆化结果:

2号节点堆化结果:

1号节点堆化结果:

至此,数组所对应的树已经成为了一个最大堆,建堆完成!
排序
由于堆顶元素是所有元素中最大的,所以我们重复取出堆顶元素,将这个最大的堆顶元素放至数组末尾,并对剩下的元素进行堆化即可。
现在思考两个问题:
- 删除堆顶元素后需要执行自顶向下(沉底)堆化还是自底向上(上浮)堆化?
- 取出的堆顶元素存在哪,新建一个数组存?
先回答第一个问题,我们需要执行自顶向下(沉底)堆化,这个堆化一开始要将末尾元素移动至堆顶,这个时候末尾的位置就空出来了,由于堆中元素已经减小,这个位置不会再被使用,所以我们可以将取出的元素放在末尾。
机智的小伙伴已经发现了,这其实是做了一次交换操作,将堆顶和末尾元素调换位置,从而将取出堆顶元素和堆化的第一步(将末尾元素放至根结点位置)进行合并。
详细过程如下图所示:
取出第一个元素并堆化:

取出第二个元素并堆化:

取出第三个元素并堆化:

取出第四个元素并堆化:

取出第五个元素并堆化:

取出第六个元素并堆化:

堆排序完成!
树
树就是一种类似现实生活中的树的数据结构(倒置的树)。任何一颗非空树只有一个根节点。
一棵树具有以下特点:
- 一棵树中的任意两个结点有且仅有唯一的一条路径连通。
- 一棵树如果有 n 个结点,那么它一定恰好有 n-1 条边。
- 一棵树不包含回路。
下图就是一颗树,并且是一颗二叉树。

如上图所示,通过上面这张图说明一下树中的常用概念:
- 节点 :树中的每个元素都可以统称为节点。
- 根节点 :顶层节点或者说没有父节点的节点。上图中 A 节点就是根节点。
- 父节点 :若一个节点含有子节点,则这个节点称为其子节点的父节点。上图中的 B 节点是 D 节点、E 节点的父节点。
- 子节点 :一个节点含有的子树的根节点称为该节点的子节点。上图中 D 节点、E 节点是 B 节点的子节点。
- 兄弟节点 :具有相同父节点的节点互称为兄弟节点。上图中 D 节点、E 节点的共同父节点是 B 节点,故 D 和 E 为兄弟节点。
- 叶子节点 :没有子节点的节点。上图中的 D、F、H、I 都是叶子节点。
- 节点的高度 :该节点到叶子节点的最长路径所包含的边数。
- 节点的深度 :根节点到该节点的路径所包含的边数
- 节点的层数 :节点的深度+1。
- 树的高度 :根节点的高度。
二叉树的分类
二叉树(Binary tree)是每个节点最多只有两个分支(即不存在分支度大于 2 的节点)的树结构。
二叉树 的分支通常被称作“左子树”或“右子树”。并且,二叉树 的分支具有左右次序,不能随意颠倒。
二叉树 的第 i 层至多拥有 2^(i-1) 个节点,深度为 k 的二叉树至多总共有 2^(k+1)-1 个节点(满二叉树的情况),至少有 2^(k) 个节点(关于节点的深度的定义国内争议比较多,我个人比较认可维基百科对节点深度的定义)

满二叉树
一个二叉树,如果每一个层的结点数都达到最大值,则这个二叉树就是 满二叉树。也就是说,如果一个二叉树的层数为 K,且结点总数是(2^k) -1 ,则它就是 满二叉树。如下图所示:

完全二叉树
除最后一层外,若其余层都是满的,并且最后一层或者是满的,或者是在右边缺少连续若干节点,则这个二叉树就是 完全二叉树 。大家可以想象为一棵树从根结点开始扩展,扩展完左子节点才能开始扩展右子节点,每扩展完一层,才能继续扩展下一层。如下图所示:

也可以这么理解,完全二叉树就是由满二叉树从最后一个节点开始依次摘若干个节点产生的。
平衡二叉树
平衡二叉树 是一棵二叉排序树,且具有以下性质:
- 可以是一棵空树
- 如果不是空树,它的左右两个子树的高度差的绝对值不超过 1,并且左右两个子树都是一棵平衡二叉树。
平衡二叉树的常用实现方法有 红黑树、AVL 树、替罪羊树、加权平衡树、伸展树 等。
在给大家展示平衡二叉树之前,先给大家看一棵树:

你管这玩意儿叫树???没错,这玩意儿还真叫树,只不过这棵树已经退化为一个链表了,我们管它叫 斜树。
如果这样,那我为啥不直接用链表呢?
谁说不是呢?
二叉树相比于链表,由于父子节点以及兄弟节点之间往往具有某种特殊的关系,这种关系使得我们在树中对数据进行搜索和修改时,相对于链表更加快捷便利。
但是,如果二叉树退化为一个链表了,那么那么树所具有的优秀性质就难以表现出来,效率也会大打折,为了避免这样的情况,我们希望每个做 “家长”(父结点) 的,都 一碗水端平,分给左儿子和分给右儿子的尽可能一样多,相差最多不超过一层,如下图所示:
二叉树的存储
二叉树的存储主要分为 链式存储 和 顺序存储 两种:
链式存储
和链表类似,二叉树的链式存储依靠指针将各个节点串联起来,不需要连续的存储空间。
每个节点包括三个属性:
- 数据 data。data 不一定是单一的数据,根据不同情况,可以是多个具有不同类型的数据。
- 左节点指针 left
- 右节点指针 right。
可是 JAVA 没有指针啊!那就直接引用对象呗(别问我对象哪里找)

顺序存储
顺序存储就是利用数组进行存储,数组中的每一个位置仅存储节点的 data,不存储左右子节点的指针,子节点的索引通过数组下标完成。根结点的序号为 1,对于每个节点 Node,假设它存储在数组中下标为 i 的位置,那么它的左子节点就存储在 2i 的位置,它的右子节点存储在下标为 2i+1 的位置。
一棵完全二叉树的数组顺序存储如下图所示:

大家可以试着填写一下存储如下二叉树的数组,比较一下和完全二叉树的顺序存储有何区别:

二叉树的遍历
先序遍历(根-左-右)

二叉树的先序遍历,就是先输出根结点,再遍历左子树,最后遍历右子树,遍历左子树和右子树的时候,同样遵循先序遍历的规则,也就是说,我们可以递归实现先序遍历。
代码如下:
public void preOrder(TreeNode root){
if(root == null){return;}
system.out.println(root.data);
preOrder(root.left);
preOrder(root.right);
}
中序遍历(左-根-右)

二叉树的中序遍历,就是先递归中序遍历左子树,再输出根结点的值,再递归中序遍历右子树,大家可以想象成一巴掌把树压扁,父结点被拍到了左子节点和右子节点的中间,如下图所示:

代码如下:
public void inOrder(TreeNode root){
if(root == null){return;}
inOrder(root.left);
system.out.println(root.data);
inOrder(root.right);
}
后序遍历(左-右-根)

二叉树的后序遍历,就是先递归后序遍历左子树,再递归后序遍历右子树,最后输出根结点的值。代码如下:
public void postOrder(TreeNode root){
if(root == null){return;}
postOrder(root.left);
postOrder(root.right);
system.out.println(root.data);
}
红黑树(待完善)
红黑树特点 :
- 每个节点非红即黑;
- 根节点总是黑色的;
- 每个叶子节点都是黑色的空节点(NIL节点);
- 如果节点是红色的,则它的子节点必须是黑色的(反之不一定);
- 从根节点到叶节点或空子节点的每条路径,必须包含相同数目的黑色节点(即相同的黑色高度)。
红黑树的应用 :TreeMap、TreeSet以及JDK1.8的HashMap底层都用到了红黑树。
为什么要用红黑树? 简单来说红黑树就是为了解决二叉查找树的缺陷,因为二叉查找树在某些情况下会退化成一个线性结构。详细了解可以查看 漫画:什么是红黑树?(也介绍到了二叉查找树,非常推荐)
相关阅读 :《红黑树深入剖析及Java实现》(美团点评技术团队)

浙公网安备 33010602011771号