需求分析与概念原型
一、项目介绍
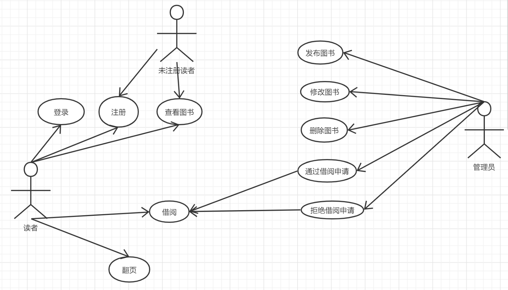
由于工程实践项目不是很适合用来进行这次的作业,故选用以前做过的一个图书借阅审核系统来进行需求分析。该系统主要是给读者借阅图书,给管理员审核提供便利。读者通过注册登录进入系统,可以看到所有的图书列表,对于心仪的图书可以提交申请借阅;在管理员通过管理员账号登录,进入到管理员界面,在该界面中可以看到读者提交的借阅请求,在收到这些借阅请求之后,可以对该借阅进行处理(通过/拒绝),同时管理员可以对图书进行增删改查等操作。
二、用例图
用例(Use Case)的核心概念中首先它是一个业务过程(business process),经过逻辑整理抽象出来的一个业务过程,这是用例的实质。什么是业务过程?在待开发软件所处的业务领域内完成特定业务任务(business task)的一系列活动就是业务过程。
用例建模主要分为四个步骤:
第一步是从需求表述中找出用例,往往是动名词短语表示的抽象用例;
第二步是描述用例开始和结束的状态;
第三步是对用例按照子系统或不同的方面进行分类,描述用例与用例、用例与参与者之间的上下文关系,并画出用例图;
第四步是进一步逐一分析用例与参与者的详细交互过程,完成一个两列的表格将参与者和待开发软件系统之间从用例开始到用例结束的所有交互步骤都列举出来扩展用例。
其中第一步到第三步是计划阶段,第四步是增量实现阶段。
本系统的用例图如下:

三、类图
业务领域建模是开发团队用于获取业务领域知识的过程。因为软件工程师往往需要工作在不同的业务领域或者不同项目中, 他们需要业务领域知识来开发软件系统。软件工程师往往来自不同的专业背景, 这可能会影响他们对业务领域的认知。因此业务领域建模有助于开发团队获取业务领域知识形成统一的业务认知。开发团队获取业务领域知识的过程一般包括收集业务领域相关佇自执行团队头脑风暴、对业务领域相关的知识概念进行分类, 最后用类图将业务领域知识图形化展示。
第一步是收集应用业务领域的信息。聚焦在功能需求层面,也考虑其它类型的需求和资料;
第二步就是头脑风暴。列出重要的应用业务领域概念,给出这些概念的属性,以及这些概念之间的关系;
第三步是给这些应用业务领域概念分类。分别列出哪些是类、哪些属性和属性值、以及列出类之间的继承关系、聚合关系和关联关系;
第四步就是将结果用UML类图画出来。
本项目的UML类图如下:

四、数据建模
根据UML类图,设计了如下几张表来存储数据
Reader表:用于存储读者:

管理员Admin表:

书籍类型BookCase表:

书籍表Book:

借阅申请表Borrow:

五、概念原型
概念是人对能代表某种事物或发展过程的特点及意义所形成的思维结论。概念原型是一种虚拟的、理想化的软件产品形式。
概念原型 = 用例 + 数据模型
工作流程:简单来说就是读者和图书管理员之间通过系统进行借阅交互的一个过程,读者申请借阅,管理员进行处理,并将结果返回给读者。
六、总结
这个图书审核借阅系统整个设计与实现都是比较简单的,业务流程清晰明了,通过这次对其进行需求分析,让我进一步从更高层次了解了相关从需求分析到软件设计的过程,了解了敏捷统一过程和对象交互建模以及形成软件设计方案的基本方法。

浙公网安备 33010602011771号