吴恩达机器学习 || 实验一作业 || python || 梯度下降
导入pandas包用于处理数据 导入seborn和pyplot包用于画图 tensorflow包提供placeholder占位符
import pandas as pd
import seaborn as sns
sns.set(context="notebook", style="whitegrid", palette="dark")
import matplotlib.pyplot as plt
import tensorflow as tf
import numpy as np
这里定义为人口和利润
df = pd.read_csv('ex1data1.txt', names=['population','profit'])df.head()
.dataframe tbody tr th {
vertical-align: top;
}
.dataframe thead th {
text-align: right;
}</style>
population
profit
0
6.1101
17.5920
1
5.5277
9.1302
2
8.5186
13.6620
3
7.0032
11.8540
4
5.8598
6.8233
</div>
df.info()
<class 'pandas.core.frame.DataFrame'>
RangeIndex: 97 entries, 0 to 96
Data columns (total 2 columns):
# Column Non-Null Count Dtype
--- ------ -------------- -----
0 population 97 non-null float64
1 profit 97 non-null float64
dtypes: float64(2)
memory usage: 1.6 KB
lmplot绘制出散点图
sns.lmplot(x='population', y='profit',data=df, height=6, fit_reg=False)
plt.show()
get_X函数 创建ones(dataframe类型)m行1列的1元素,并将ones这一列与传入的df合并,传出 类似 1,a 1,b 1,c get_Y函数获取最后一列数据[a,b,c]
normalize_feature函数将传入的df全部按列归一化方便后续梯度下降
def get_X(df):#读取特征
ones = pd.DataFrame({'ones':np.ones(len(df))})#ones是和pf等高的1元素
data = pd.concat([ones,df], axis=1)#拼接ones和pd为data
return data.iloc[:,:-1].values
def get_Y(df):#读取标签
return np.array(df.iloc[:, -1])#获取df最后一列
def normalize_feature(df):#特征缩放,与平均数的差值/方差
return df.apply(lambda column:(column - column.mean()) / column.std())
linear_regression函数进行梯度下降
def linear_regression(X_data,y_data, alpha,epoch,optimizer=tf.compat.v1.train.GradientDescentOptimizer):
#放数据的graph
X = tf.placeholder(tf.float32, shape = X_data.shape)
y = tf.placeholder(tf.float32, shape = y_data.shape)
with tf.varialbe_scope('liner-regression'):
W = tf.get_variable("weights",
shape=(X_data.shape[1],1),#2行1列
initializer=tf.constant_initializer()) #n*1
y_pred = tf.matmul(X, W) #m*n的矩阵乘 n*1 ->m*1矩阵
# (m*1)T*(m*1) = 1*1
#transpose_a/b说明矩阵a/b的转置
#loss就是梯度下降中的代价函数J(θ)
loss = 1/ (2 * len(X_data)) *tf.matmul((y_pred -y), (y_pred - y), transpose_a=True)
opt = optimizer(learning_rate=alpha)
opt_operation = opt.minimize(loss)
#run session
with tf.Session() as sess:
sess.run(tf.global_variables_initializer())
sess_data = []
for i in range(epoch):
_, loss_val,W_val = sess.run([opt_operation, loss, W], feed_dict = {X:X_data, y:y_data})
loss_data.append(loss_val[0,0]) #损失函数都是1*1矩阵
if len(loss_data)>1 and np.abs(loss_data[-1] - loss_data[-2])<10 ** -9:
print('Converged at epoch {}'.format(i))
break
#清除 graph
tf.reset_default_gragh()
return {'loss':loss_data, 'parameters': W_val}
data = pd.read_csv('ex1data1.txt', names=['population', 'profit'])
data.head()
.dataframe tbody tr th {
vertical-align: top;
}
.dataframe thead th {
text-align: right;
}</style>
population
profit
0
6.1101
17.5920
1
5.5277
9.1302
2
8.5186
13.6620
3
7.0032
11.8540
4
5.8598
6.8233
</div>
X = get_X(data)
print(X.shape,type(X))
y = get_Y(data)
print(y.shape, type(y))
(97, 2) <class 'numpy.ndarray'>
(97,) <class 'numpy.ndarray'>
theta = np.zeros(X.shape[1])#X有两列,shape[0]表行数,shpae[1]=2是两列
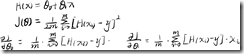
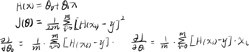
lr_cost函数传入θ,样本里的x和y(需要拟合的值) 定义m为样本数 线性拟合函数最初始参数为θ0=0,θ1=0,h(x) = θ0+θ1x 用x计算出的值h(x)-y(x)为差值,函数中的inner即为差值数组 因为损失函数为差值平方的和/2m 直接对差值矩阵inner乘其转置矩阵得差值平方的和
def lr_cost(theta, X, y):
# X:R(m*n) ,m样本数,n 特征数
# y:R(m)
# theta:R(n) ,线性回归参数
m = X.shape[0] #m样本数
inner = X @ theta - y #R(m*1) ,X @ theta 等价于X.dot(theta)也即是矩阵乘法
square_sum = inner.T @ inner
cost = square_sum / (2 * m)
return cost
lr_cost(theta, X, y)#返回损失函数的值
32.072733877455676
批量梯度下降函数(每一次梯度下降的过程中,都用到了所有样本,也就是所有的x,y) 对于θ0θ1求偏导,式子为 
def gradient(theta, X, y):
m = X.shape[0]
inner = X.T @ (X @ theta - y)
i
return inner / m
[ -5.83913505 -65.32884975]
拟合线性回归,返回最后的两个参数θ0和θ1 _theta拷贝原来的theta 在epoch范围内循环执行梯度下降,并将损失函数添加到cost_data数组中
def batch_gradient_decent(theta, X, y, epoch, alpha=0.01):
# 拟合线性回归,返回参数和代价
cost_data = [lr_cost(theta, X, y)]
_theta = theta.copy() #备份的theta
for _ in range(epoch):
_theta = _theta - alpha * gradient(_theta, X, y)
cost_data.append(lr_cost(_theta, X, y))
return _theta, cost_data
epoch = 500
final_theta, cost_data = batch_gradient_decent(theta, X, y, epoch)
final_theta
array([-2.28286727, 1.03099898])
cost_data
[32.072733877455676,
6.737190464870011,
5.931593568604956,
5.901154707081388,
5.895228586444221,
5.890094943117332,
5.885004158443646,
5.8799324804914175,
5.874879094762575,
5.869843911806386,
5.864826865312929,
5.859827889932181,
5.85484692057229,
5.849883892376587,
5.844938740722034,
5.840011401218361,
5.8351018097072265,
5.830209902261388,
5.825335615183862,
5.820478885007098,
5.815639648492155,
5.810817842627869,
5.806013404630045,
5.80122627194063,
5.796456382226899,
5.791703673380653,
5.7869680835173956,
5.782249550975539,
5.777548014315596,
5.772863412319382,
5.768195683989214,
5.76354476854712,
5.758910605434049,
5.754293134309077,
5.749692295048629,
5.745108027745684,
5.740540272709012,
5.735988970462381,
5.731454061743792,
5.726935487504702,
5.722433188909257,
5.717947107333529,
5.71347718436475,
5.709023361800549,
5.704585581648199,
5.700163786123856,
5.695757917651815,
5.691367918863752,
5.686993732597982,
5.682635301898707,
5.678292570015291,
5.673965480401506,
5.669653976714797,
5.665358002815553,
5.661077502766381,
5.6568124208313595,
5.652562701475333,
5.648328289363181,
5.644109129359092,
5.639905166525856,
5.635716346124135,
5.631542613611772,
5.627383914643055,
5.623240195068027,
5.619111400931778,
5.61499747847374,
5.610898374126984,
5.606814034517532,
5.602744406463646,
5.598689436975159,
5.59464907325276,
5.590623262687323,
5.586611952859217,
5.5826150915376225,
5.578632626679853,
5.574664506430678,
5.570710679121643,
5.566771093270403,
5.562845697580051,
5.558934440938442,
5.555037272417543,
5.551154141272754,
5.547284996942256,
5.543429789046352,
5.539588467386808,
5.535760981946204,
5.531947282887275,
5.5281473205522715,
5.524361045462306,
5.520588408316713,
5.5168293599924025,
5.513083851543225,
5.5093518341993315,
5.505633259366538,
5.501928078625699,
5.498236243732065,
5.494557706614666,
5.490892419375677,
5.487240334289805,
5.483601403803652,
5.479975580535111,
5.476362817272741,
5.472763066975153,
5.469176282770398,
5.465602417955358,
5.462041425995138,
5.4584932605224585,
5.454957875337047,
5.451435224405051,
5.447925261858424,
5.444427941994333,
5.440943219274565,
5.437471048324933,
5.434011383934687,
5.430564181055919,
5.427129394802987,
5.423706980451917,
5.420296893439839,
5.416899089364382,
5.413513523983123,
5.4101401532129865,
5.406778933129694,
5.403429819967165,
5.400092770116975,
5.396767740127768,
5.393454686704697,
5.390153566708862,
5.386864337156747,
5.383586955219661,
5.380321378223178,
5.377067563646582,
5.373825469122317,
5.37059505243543,
5.367376271523024,
5.364169084473712,
5.360973449527068,
5.357789325073084,
5.354616669651632,
5.3514554419519165,
5.348305600811943,
5.345167105217981,
5.342039914304029,
5.338923987351282,
5.335819283787603,
5.332725763186989,
5.329643385269053,
5.326572109898499,
5.323511897084587,
5.32046270698063,
5.317424499883461,
5.314397236232924,
5.311380876611356,
5.3083753817430726,
5.305380712493861,
5.302396829870465,
5.2994236950200815,
5.296461269229852,
5.29350951392636,
5.290568390675129,
5.287637861180118,
5.284717887283232,
5.281808430963811,
5.278909454338152,
5.276020919659001,
5.27314278931507,
5.270275025830544,
5.267417591864592,
5.264570450210885,
5.261733563797111,
5.2589068956844836,
5.256090409067274,
5.253284067272322,
5.250487833758565,
5.2477016721165555,
5.244925546067994,
5.242159419465253,
5.239403256290902,
5.236657020657251,
5.2339206768058695,
5.231194189107128,
5.228477522059737,
5.225770640290271,
5.223073508552729,
5.220386091728056,
5.217708354823697,
5.215040262973137,
5.21238178143545,
5.2097328755948435,
5.207093510960208,
5.204463653164672,
5.20184326796515,
5.199232321241896,
5.1966307789980615,
5.19403860735926,
5.191455772573107,
5.188882241008802,
5.1863179791566765,
5.18376295362776,
5.181217131153349,
5.1786804785845755,
5.176152962891967,
5.173634551165023,
5.171125210611782,
5.168624908558404,
5.166133612448731,
5.163651289843875,
5.161177908421789,
5.15871343597685,
5.156257840419433,
5.153811089775505,
5.151373152186197,
5.148943995907395,
5.146523589309324,
5.14411190087614,
5.141708899205515,
5.139314553008234,
5.136928831107778,
5.134551702439931,
5.132183136052365,
5.129823101104238,
5.127471566865799,
5.12512850271798,
5.122793878152007,
5.120467662768992,
5.118149826279543,
5.115840338503368,
5.113539169368884,
5.111246288912825,
5.108961667279847,
5.10668527472215,
5.104417081599077,
5.1021570583767355,
5.099905175627619,
5.097661404030211,
5.095425714368609,
5.09319807753215,
5.090978464515022,
5.088766846415887,
5.086563194437517,
5.0843674798864,
5.082179674172386,
5.079999748808298,
5.0778276754095675,
5.075663425693873,
5.0735069714807555,
5.071358284691268,
5.069217337347596,
5.067084101572705,
5.064958549589969,
5.062840653722809,
5.060730386394342,
5.05862772012701,
5.056532627542231,
5.0544450813600355,
5.052365054398719,
5.050292519574479,
5.0482274499010735,
5.046169818489457,
5.044119598547441,
5.042076763379342,
5.040041286385627,
5.038013141062576,
5.035992301001939,
5.033978739890578,
5.031972431510141,
5.029973349736707,
5.027981468540455,
5.025996761985323,
5.024019204228667,
5.022048769520928,
5.020085432205293,
5.018129166717368,
5.016179947584834,
5.014237749427129,
5.012302546955105,
5.010374314970709,
5.008453028366643,
5.006538662126048,
5.004631191322175,
5.00273059111806,
5.0008368367662,
4.998949903608226,
4.997069767074595,
4.995196402684257,
4.9933297860443435,
4.991469892849845,
4.9896166988833,
4.987770180014478,
4.98593031220006,
4.984097071483333,
4.982270433993871,
4.9804503759472345,
4.978636873644648,
4.9768299034727,
4.975029441903031,
4.973235465492034,
4.97144795088054,
4.969666874793522,
4.967892214039784,
4.966123945511668,
4.964362046184744,
4.962606493117519,
4.96085726345113,
4.959114334409053,
4.957377683296804,
4.95564728750164,
4.95392312449227,
4.9522051718185605,
4.95049340711124,
4.948787808081611,
4.9470883525212574,
4.94539501830176,
4.943707783374398,
4.942026625769876,
4.9403515235980295,
4.938682455047536,
4.937019398385641,
4.935362331957869,
4.933711234187743,
4.932066083576499,
4.930426858702819,
4.928793538222535,
4.927166100868363,
4.925544525449622,
4.923928790851963,
4.922318876037079,
4.920714760042452,
4.919116421981068,
4.91752384104114,
4.915936996485852,
4.914355867653076,
4.912780433955112,
4.911210674878409,
4.9096465699833125,
4.908088098903785,
4.9065352413471475,
4.904987977093815,
4.903446285997032,
4.90191014798261,
4.9003795430486665,
4.898854451265366,
4.897334852774656,
4.895820727790016,
4.894312056596192,
4.892808819548943,
4.891310997074789,
4.889818569670748,
4.888331517904091,
4.8868498224120795,
4.8853734639017246,
4.883902423149524,
4.88243668100122,
4.880976218371548,
4.879521016243985,
4.8780710556705085,
4.876626317771341,
4.875186783734714,
4.87375243481661,
4.872323252340535,
4.870899217697262,
4.869480312344594,
4.868066517807122,
4.866657815675986,
4.865254187608633,
4.863855615328574,
4.862462080625159,
4.861073565353324,
4.859690051433372,
4.858311520850715,
4.856937955655664,
4.855569337963178,
4.85420564995264,
4.852846873867616,
4.851492992015639,
4.850143986767962,
4.8487998405593355,
4.847460535887784,
4.84612605531437,
4.8447963814629675,
4.843471497020046,
4.842151384734428,
4.8408360274170805,
4.839525407940883,
4.838219509240404,
4.836918314311682,
4.8356218062120035,
4.834329968059677,
4.833042783033826,
4.831760234374157,
4.830482305380745,
4.829208979413817,
4.8279402398935405,
4.826676070299799,
4.825416454171979,
4.824161375108761,
4.822910816767899,
4.821664762866011,
4.8204231971783695,
4.819186103538688,
4.817953465838902,
4.816725268028978,
4.815501494116686,
4.814282128167403,
4.813067154303901,
4.811856556706141,
4.810650319611066,
4.809448427312395,
4.808250864160425,
4.807057614561818,
4.805868662979403,
4.804683993931976,
4.80350359199409,
4.802327441795867,
4.80115552802278,
4.799987835415476,
4.798824348769555,
4.7976650529353915,
4.796509932817919,
4.795358973376449,
4.7942121596244665,
4.793069476629436,
4.791930909512613,
4.790796443448837,
4.789666063666355,
4.788539755446615,
4.787417504124084,
4.786299295086054,
4.785185113772448,
4.784074945675635,
4.7829687763402395,
4.781866591362954,
4.78076837639235,
4.779674117128696,
4.778583799323759,
4.777497408780635,
4.776414931353551,
4.775336352947692,
4.774261659519006,
4.773190837074032,
4.772123871669708,
4.771060749413196,
4.770001456461701,
4.768945979022286,
4.767894303351698,
4.766846415756183,
4.765802302591315,
4.764761950261813,
4.763725345221363,
4.762692473972447,
4.761663323066164,
4.760637879102053,
4.7596161287279255,
4.75859805863968,
4.757583655581141,
4.7565729063438775,
4.755565797767039,
4.7545623167371724,
4.753562450188067,
4.752566185100569,
4.751573508502425,
4.750584407468098,
4.7495988691186195,
4.7486168806214,
4.7476384291900775,
4.746663502084345,
4.745692086609786,
4.744724170117705,
4.743759740004973,
4.742798783713851,
4.741841288731832,
4.740887242591483,
4.739936632870274,
4.738989447190423,
4.7380456732187275,
4.737105298666416,
4.736168311288972,
4.735234698885989,
4.734304449301005,
4.733377550421341,
4.732453990177952,
4.731533756545262,
4.73061683754101,
4.7297032212260985,
4.728792895704427,
4.727885849122751,
4.726982069670518,
4.726081545579717,
4.725184265124721,
4.724290216622143,
4.7233993884306775,
4.722511768950946,
4.721627346625359,
4.7207461099379495,
4.7198680474142325,
4.718993147621053,
4.7181213991664395,
4.717252790699452,
4.716387310910036,
4.715524948528874,
4.7146656923272445,
4.713809531116866]
lr_cost(final_theta, X, y)
4.713809531116866
c = {'epoch':list(range(epoch+1)),'cost':cost_data}
cost_df = pd.DataFrame(c)
ax = sns.lineplot(x='epoch',y='cost',data = cost_df)
plt.show()b = final_theta[0] #intercept,Y轴上的截距
m = final_theta[1] # slope ,斜率
print('fx = ')
plt.scatter(data.population,data.profit, label="Training data")
plt.plot(data.population, data.population*m + b,label="prediction")
plt.legend(loc=2)
plt.show()




浙公网安备 33010602011771号