C语言程序设计实验报告(二)
C程序设计实验报告
实验项目:
2.3.3、字符与ASCII码
2.3.4、运算符与表达式的应用
2.3.5、顺序结构应用程序
3.3.1、数学函数的算法描述
3.3.2、鸡兔同笼的算法描述
3.3.3、确定坐标的算法描述
姓名:陈庆楚 实验地点: 家 实验时间: 3月11日
一、实验目的与要求
2.3.3、字符与ASCLL码
●了解字符在计算机中以ASCII码方式表示;
●了解字符的类型,字长其数的表示范围;
●熟练使用scanf()输入用户提供的数据;
●熟练使用printf()输出变量。
2.3.4、运算符与表达式的应用
●掌握算术运算符的使用;
●正确定义程序中的变量;
●熟练使用scanf()输入用户提供的数据;
●熟练使用printf()输出变量。
2.3.5、顺序结构应用程序
●掌握算术运算符的使用
●正确定义程序中的变量
●熟练使用scanf()输入用户提供的数据
●熟练使用printf()输出变量。
3.3.1、数学函数的算法描述
●为了巩固对算法概念的理解;
●用if语句根据条件的真假进行判断
●掌握运算符的运算规则 。
3.3.2、鸡兔同笼的算法描述
●为了巩固对算法概念的理解;
●用if语句根据条件的真假进行判断
●掌握运算符的运算规则。.
3.3.3、确定坐标的算法描述
●为了巩固对算法概念的理解;
●用if语句根据条件的真假进行判断
●掌握运算符的运算规则。
二、实验内容
1、实验练习(2.3.3) :
1.问题描述:
从键盘输入一个大写字母,要求转化成小写字母输入,并输出这个小写字母相邻的两个字母,以及他们的ASCLL码。
2.实验代码:
#include<stdio.h>
main()
{
char a,b,c,d;
printf("Please input a:");
scanf("%c",&a);
b=a+32;
c=a+31;
d=a+33;
printf("Lowercase litter:%c%c%c\n",b,c,d);
printf("ASCLL:%d,%d,%d\n",b,c,d);
}
3.问题分析:
a、注意输出小写字母相邻的两个字母的正确表达,书写代码时,不能令a=a+32,b=a+31,c=a+33,这样输出的结果只能得到a的小写字母和ASCLL码。
2、实验练习(2.3.4) :
1.问题描述:
从键盘输入一一个3位数,将输出该数字的逆序数。例如,输入123,输出321。
2.实验代码:
#include<stdio.h>
main()
{
int a,b,c,x,y;
printf("请输入一个三位数:\n");
scanf("%d",&x);
a=x%10;
b=(x%100)/10;
c=x/100;
y=a*100+b*10+c;
printf("%d:%d",x,y);
}
3.问题分析:
a、正确使用算术运算符:
注意%与/的区别,%取余,/取整。
3、实验练习(2.3.5) :
1.问题描述:
编写一个程序,用于医药收费处纳算账。要求输入所在医院费用(西药费、检查费、材料费、床位费、观察费和护理费),打印出应付钱款,再输入病人所付款数,打印出应找钱数(已知某病人,西药费268.2元,检查费600元,注射用材料费206元,床位费120元,观察费360元,护理费220元)。
2.实验代码:
#include<stdio.h>
int main()
{
float x,j,c,cw,g,f,hj,fk,zh;
/*其中x代表西药费;j代表检查费;c代表材料费;cw代表代表临床费;g代表观察费;f代表护理费;hj代表应付款 ;fk代表病人付款额;zh代表应找回的金额;*/
printf("请输入西药费,检查费,材料费,床位费,观察费,护理费:\n") ;
scanf("%f,%f,%f,%f,%f,%f",&x,&j,&c,&cw,&g,&f);
hj=x+j+c+cw+g+f;
printf("应付款(元):%.2f",hj);
printf("病人付款(元):\n");
scanf("%f",&fk);
zh=fk-hj;
printf("计算结果:\n");
printf("病人付款=%6.2f元\n应付款=%6.2f元\n应找回=%6.2f元\n",hj,fk,zh);
}
3.问题分析:
该实验问题不大,注意中英文的输入。
4、实验练习(3.3.1) :
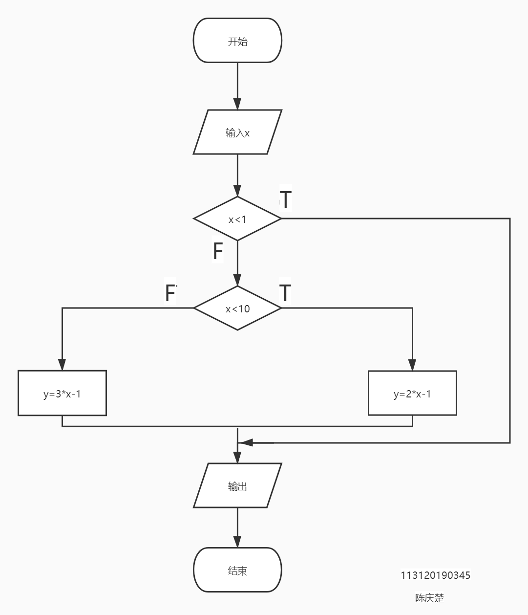
1.问题描述:
有- -函数y=x (x<1)或y=2x-1(1=<x<10)或y=3x-1 (x>=10)请用流程图表示该函数的算法。输入x值,输出满足函数关系的y值。并用c语言编写程序进行检验。
2.实验代码:
#include<stdio.h>
main()
{
float x,y;
printf("请输入x的值:");
scanf("%f",&x);
if (x<10)
y=x;
else if (x<10)
y=2*x-1;
else
y=3*x-1;
printf("y的值为%.2f\n",y);
}
3.算法流程图:
4.问题分析:
该实验最为关键的是通过实验学会if...else的用法,多个条件要用到if...else if... ... else。
5、实验练习(3.3.2) :
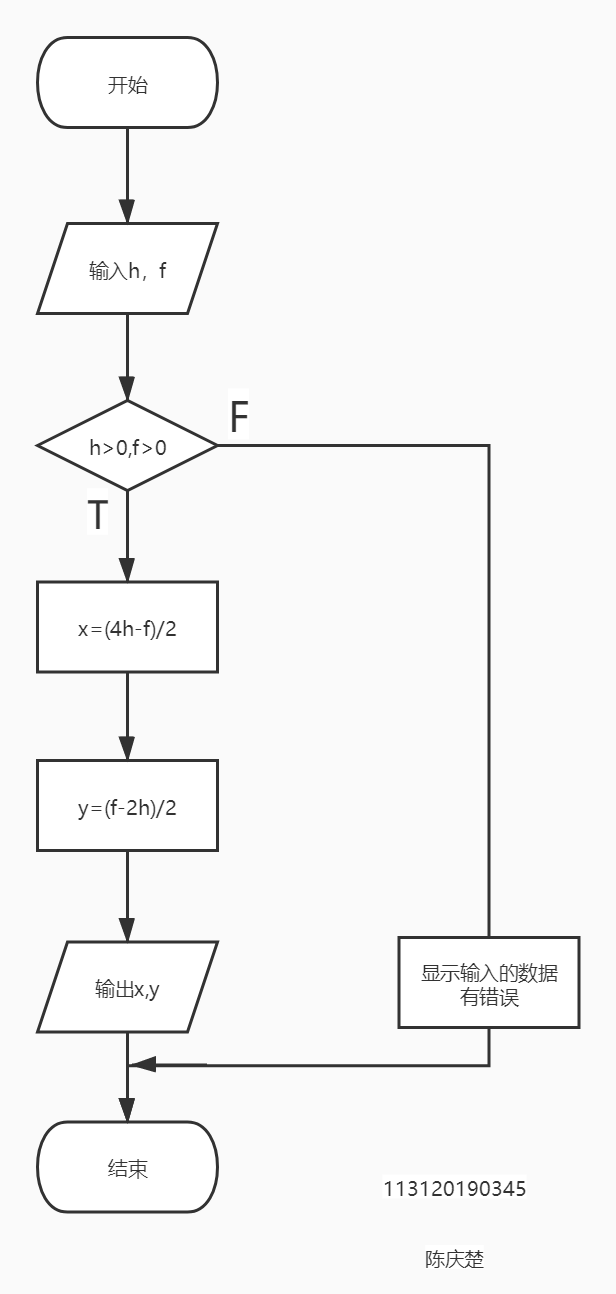
1.问题描述:
用流程图描述求解鸡兔同笼的算法:已知鸡兔的总头数为h,总脚数为f,求鸡兔各有多少只。
2.实验代码:
#include<stdio.h>
main()
{
int h,f,x,y;
printf("鸡兔总数,鸡兔脚总数:\n");
scanf("%d,%d",&h,&f);
x=(4*h-f)/2;
y=(f-2*h)/2;
if(x>0&&y>0)
{
printf("鸡有%d只,兔有%d只",x,y);
}
else
{
printf("输入错误!\n");
}
}
3.算法流程图:

4.问题分析:
a、写源代码时和输入检验时注意区分中英文的“;”和“;
b、注意先将x,y运算赋值后再使用if条件语句。
6、实验练习(3.3.3) :
1.问题描述:
根据平面坐标,输出圆塔的高度。
2.实验代码:
#include<stdio.h>
#include<math.h>
main()
{
int h=10;
float x1=2,y1=2,x2=-2,y2=2,x3=2,y3=-2,x4=-2,y4=-2,x,y,d1,d2,d3,d4;
printf("请输入一个点(x,y):");
scanf("%d,%d",&x,&y);
d1=sqrt((x-x1)*(x-x1)+(y-y1)*(y-y1));
d2=sqrt((x-x2)*(x-x2)+(y-y2)*(y-y2));
d3=sqrt((x-x3)*(x-x3)+(y-y3)*(y-y3));
d4=sqrt((x-x4)*(x-x4)+(y-y4)*(y-y4));
if(d1>1&&d2>1&&d3>1&&d4>1)
printf("该点高度为:0");
else
printf("该点高度为:10");
}
3.问题分析:
a、该实验最主要的是不能用到^2,必须借助预处理命令#include<math.h>中的sqrt函数。
三、实验小结
1.本次实验学会用博客园发表文章。
2.6个实验加深我对字符和和字符用法的了解。
3.编写程序时让我更加注意到一些低级错误。


浙公网安备 33010602011771号