灰色关联度与优势分析:
我们经常要对系统进行因素分析,这些因素中哪些对系统来讲是主要的,哪些是次要的,哪些需要发展,哪些需要抑制……这些都是我们极为关心的问题。事实上,因素间关联性如何、关联程度如何量化等问题是系统分析的关键。
因素分析基本方法过去主要是回归分析的方法,但该方法有很多缺陷。我们采用灰色关联度分析的方法进行系统分析。
灰色关联度是分析向量与向量之间、矩阵与矩阵之间的关联度。既然是计算关联度,一定是计算某一个带比较的数列与参照物(参考数列)之间的相关程度。具体步骤如下:
1.选取参考数列X0= {X0(1),X0(2),X0(3)……X0(n)} ,确定比较数列Xi={Xi(1),Xi(2),……Xi(n)},假设有m个比较数列 则i=(1,2,3……m) ,一共有m个单位,其中第i个单位的比较数列为Xi(n)
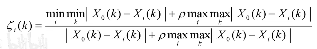
2.计算
ρ称为分辨系数 取值为[0,1] 一般取 ρ=1/2; 该式的含义为:

