会员
周边
新闻
博问
闪存
众包
赞助商
Chat2DB
所有博客
当前博客
我的博客
我的园子
账号设置
会员中心
简洁模式
...
退出登录
注册
登录
大数据编程学习
博客园
首页
新随笔
联系
订阅
管理
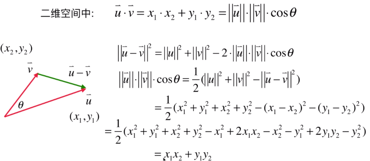
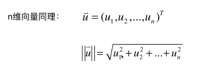
线性代数--向量
向量定义:
一组有序的数字
空间中的点
行向量
列向量
向量加法
数量乘法
向量的模
证明
向量点乘的应用
posted @
2020-03-21 11:51
中年程序
阅读(
249
) 评论(
0
)
收藏
举报
刷新页面
返回顶部
公告