alpha-beta剪枝算法
参考链接-机器之心
人机博弈是人工智能的重要分支,人们在这一领域探索的过程中产生了大量的研究成果,而极小化极大算法(minimax)是其中最基础的算法,它由Shannon在1950年正式提出。Alpha-beta剪枝的本质就是一种基于极小化极大算法的改进方法。
在人机博弈中,双方回合制地进行走棋,己方考虑当自己在所有可行的走法中作出某一特定选择后,对方可能会采取的走法,从而选择最有利于自己的走法。这种对弈过程就构成了一颗博弈树,双方在博弈树中不断搜索,选择对自己最为有利的子节点走棋。在搜索的过程中,将取极大值的一方称为max,取极小值的一方称为min。max总是会选择价值最大的子节点走棋,而min则相反。这就是极小化极大算法的核心思想。
极小化极大算法最大的缺点就是会造成数据冗余,而这种冗余有两种情况:①极大值冗余;②极小值冗余。相对应地,alpha剪枝用来解决极大值冗余问题,beta剪枝则用来解决极小值冗余问题,这就构成了完整的Alpha-beta剪枝算法。接下来对极大极小值冗余和具体剪枝过程作简要介绍。
极大值冗余
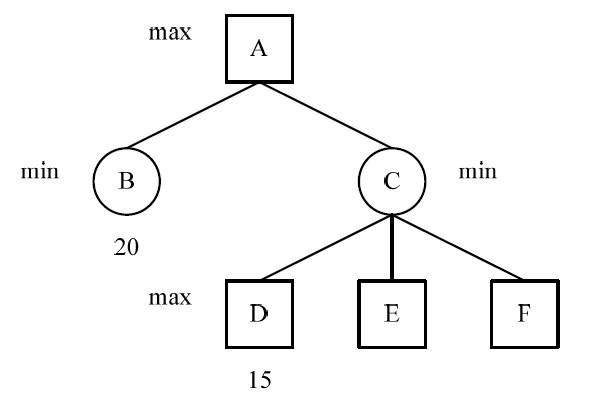
如图1所示,这是一颗博弈树的某一部分,节点下的数据为该节点的值,节点B的值为20,节点D的值为15,这里,C为取极小值的min节点,因此节点C的值将小于等于15;而节点A为取最大值max的节点,因此A只可能取到B的值,也是就说不再需要搜索C的其他子节点E和F的值就可以得出节点A的值。这样将节点D的后继兄弟节点减去称为Alpha剪枝。

图 1 极大值冗余的Alpha剪枝
极小值冗余
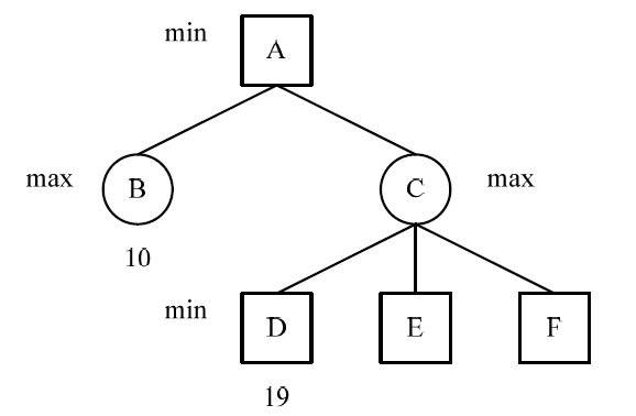
如图2所示,这也是一颗博弈树的某一部分,节点B的值为10,节点D的值为19,这里,C节点为取最大值max节点。因此,C的值将大于等于19;节点A为取极小值的min节点,因此A的值只能取B的值10,也就是说不再需要求节点C的子节点E和F的值就可以得出节点A的值。这样将节点D的后继兄弟节点减去称为Beta剪枝。

图2 极小值冗余的Beta剪枝
瓶颈
Alpha-beta剪枝本质是alpha剪枝和beta剪枝的结合,这两种剪枝的发生条件不同,因此在博弈中总是首先需要区分取极小值和取极大值方,这在一定程度上让算法的效率打了折扣。
未来发展方向
Alpha-beta剪枝是对极小化极大算法的一种改进,但是在实际应用过程中,alpha-beta剪枝首先要区分出博弈双方谁是取极大值者,谁是取极小值者,达到剪枝条件时才会进行剪枝。这一优化方法虽然简洁明了,但在一定程度上让算法的效率打了折扣。因此在具体的博弈中,结合博弈的特定规则进行优化,比如说,将一些先验知识(prior knowledge)纳入剪枝条件中,这种基于具体应用的优化将是alpha-beta剪枝的重要发展方向。

浙公网安备 33010602011771号