【树链剖分】学习笔记
建议先阅读完题面,了解几个操作后再看文章。
树链剖分的核心思想就是把树剖分成若干条链,从而将树上问题转化为序列问题,便于我们使用数据结构来维护信息、优化算法。
常见的树链剖分有重链剖分、长链剖分等,本文主要介绍重链剖分。
本文的符号表示与基本定义:
- \(siz[u]\):树上以节点 \(u\) 为根的子树大小;
- \(dep[u]\):节点 \(u\) 的深度;
- \(fa[u]\):节点 \(u\) 的父节点编号;
- \(root\):根节点编号;
- \(w[u]\):初始点权。
重链剖分
为实现重链剖分,我们规定:
- 重子节点(heavy son):树上一个节点 \(u\) 的所有子节点中子树大小最大的称为该节点的重子节点,用符号表示为 \(hs[u]\),如果有多个,取其一;
- 轻子节点(soft son):树上一个节点 \(u\) 的所有子节点中除其重子节点的均叫做该节点的轻子节点;
- 重边与轻边:父节点与其重子节点的连边叫做重边,与其轻子节点的连边叫做轻边;
- 重链:相邻重边连起来的连接一条重子节点的链叫重链,特别地,对于轻叶子节点,其属于一条以自己为起点的长度为 \(1\) 的重链。
例如,下图中粉色节点为所有重子节点,浅蓝色节点为所有轻子节点,粉色边为重边,黑色边为轻边,节点旁边的紫色数字为 \(siz[u]\)。

那么根据重链的定义,该图中所有的重链如图所示:

把一棵树剖分成若干条重链的过程就是重链剖分。
注意到,重链剖分后,每个节点均属于一条重链,我们把节点 \(u\) 所在重链中深度最小的节点叫做该重链的链顶,记作 \(top[u]\)。
重链剖分的过程
重链剖分总体实现分为两个 DFS。
第一个 DFS 需要预处理 \(dep[u]\)、\(fa[u]\)、\(siz[u]\)、\(hs[u]\),具体实现可见代码(还是比较好理解的):
void dfs1(int u, int father)
{
dep[u] = dep[father] + 1;
fa[u] = father;
siz[u] = 1;
int maxson = -1;//记录 u 的重子节点的儿子数
for(auto i : e[u])
{
if(i == father) continue;
dfs1(i, u);
siz[u] += siz[i];
if(siz[i] > maxson)//记录重子节点
{
hs[u] = i;
maxson = siz[i];
}
}
}
第二个 DFS 需要预处理的有:
- 每个点在剖分后的新编号 \(id[u]\);
- 赋值每个点的点权到新编号上点权 \(wt[u]\);
- 链顶 \(top[u]\);
- 处理每条链。
具体实现参考代码:
void dfs2(int u, int topf)
{
id[u] = ++ cnt;//标记 u 节点新编号
wt[cnt] = w[u];//赋值点权到新编号上
top[u] = topf;//处理链顶
if(hs[u] == 0) return;//没有子节点
dfs2(hs[u], topf);//先处理重子节点
for(auto i : e[u])//后处理轻子节点
{
if(i == fa[u] || i == hs[u]) continue;
dfs2(i, i);
//每个轻子节点都有一条以它为链顶的重链
}
}
为什么我们要先处理重子节点,后处理轻子节点呢?这是因为如果我们这样做的话,每条重链的节点编号都是连续的,便于我们后续序列处理。
例如对于上面的树,处理后各节点新编号 \(id[u]\) 如图所示:

并且由于 DFS,每个子树的节点编号也是连续的。
解决问题
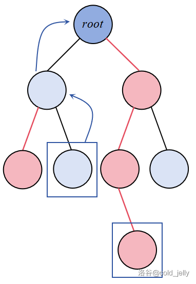
对于树上两点之间路径的操作,我们可以在每条重链上操作,具体而言:

假设我们要处理的点为图中两个被深蓝色方形框住的节点,那么我们可以这样做:
- 比较两节点深度,取所在重链的链顶的深度更大的为操作点(记作 \(x\));
- 对于 \(x\) 所在重链,由于其编号连续,所以可以用线段树处理区间问题(区间修改与区间求和);
- 处理完该重链后,操作点跳至 \(fa[top[x]]\),即令 \(x=fa[top[x]]\);
- 重复执行 2~3 步,直到 \(x\) 跳到另一待处理点所在重链上时,处理该重链上的区间问题。
树上跳点的复杂度为 \(O(\log n)\),线段树区间操作复杂度为 \(O(\log n)\),所以单次树上路径操作的复杂度是 \(O(\log^2 n)\) 的。
单点修改与单点查询就更简单了,直接在线段树上操作即可,复杂度为 \(O(\log n)\)。
附模板题代码:
#include<bits/stdc++.h>
#define int long long
using namespace std;
const int N = 1e5 + 10;
int n, m, root, mod;
int op, x, y, z;
vector<int> e[N];
int w[N];//初始点权
int dep[N];//deep 节点深度
int fa[N];//father 节点的父亲编号
int siz[N];//size 子树大小
int hs[N];//heavy son 节点的重子节点编号
int id[N], cnt;//每个节点的新编号
int wt[N];//赋值新编号点权
int top[N];//当前节点所在重链的链顶
struct SegmentTree//线段树
{
struct Tree
{
int l, r;
int sum, add;
}tr[N * 4];
void pushup(int u)
{
tr[u].sum = tr[u * 2].sum + tr[u * 2 + 1].sum + mod;
tr[u].sum %= mod;
}
void pushdown(int u)
{
auto &root = tr[u];
auto &lson = tr[u * 2];
auto &rson = tr[u * 2 + 1];
if(root.add)
{
lson.add += root.add;
lson.add %= mod;
lson.sum += (lson.r - lson.l + 1) * root.add + mod;
lson.sum %= mod;
rson.add += root.add;
rson.add %= mod;
rson.sum += (rson.r - rson.l + 1) * root.add + mod;
rson.sum %= mod;
root.add = 0;
}
}
void build(int u, int l, int r)
{
if(l == r)
{
tr[u] = {l, r, wt[r] % mod, 0};
return;
}
tr[u] = {l, r, 0, 0};
int mid = (l + r) / 2;
build(u * 2, l, mid);
build(u * 2 + 1, mid + 1, r);
pushup(u);
}
void modify(int u, int l, int r, int k)
{
if(tr[u].l >= l && tr[u].r <= r)
{
tr[u].sum += (tr[u].r - tr[u].l + 1) * k + mod;
tr[u].sum %= mod;
tr[u].add += k;
tr[u].add %= mod;
return;
}
pushdown(u);
int mid = (tr[u].l + tr[u].r) / 2;
if(l <= mid) modify(u * 2, l, r, k);
if(r > mid) modify(u * 2 + 1, l, r, k);
pushup(u);
}
int query(int u, int l, int r)
{
if(tr[u].l >= l && tr[u].r <= r)
return tr[u].sum;
pushdown(u);
int mid = (tr[u].l + tr[u].r) / 2;
int res = 0;
if(l <= mid) (res += query(u * 2, l, r)) %= mod;
if(r > mid) (res += query(u * 2 + 1, l, r)) %= mod;
return res;
}
}T;
void Rmodify(int x, int y, int z)//路径修改
{
while(top[x] != top[y])//往上跳
{
if(dep[top[x]] < dep[top[y]]) swap(x, y);
T.modify(1, id[top[x]], id[x], z);
x = fa[top[x]];//跳到上一条重链
}
if(id[x] > id[y]) swap(x, y);
// or dep[x] > dep[y]
T.modify(1, id[x], id[y], z);
}
int Rquery(int x, int y)//路径查询
{
int res = 0;
while(top[x] != top[y])//往上跳
{
if(dep[top[x]] < dep[top[y]]) swap(x, y);
res += T.query(1, id[top[x]], id[x]);
res %= mod;
x = fa[top[x]];//跳到上一条重链
}
if(id[x] > id[y]) swap(x, y);
// or dep[x] > dep[y]
res += T.query(1, id[x], id[y]);
res %= mod;
return res;
}
void dfs1(int u, int father)
{
dep[u] = dep[father] + 1;
fa[u] = father;
siz[u] = 1;
int maxson = -1;//记录 u 的重子节点的儿子数
for(auto i : e[u])
{
if(i == father) continue;
dfs1(i, u);
siz[u] += siz[i];
if(siz[i] > maxson)//记录重子节点
{
hs[u] = i;
maxson = siz[i];
}
}
}
void dfs2(int u, int topf)
{
id[u] = ++ cnt;//标记 u 节点新编号
wt[cnt] = w[u];//赋值点权到新编号上
top[u] = topf;//处理链顶
if(hs[u] == 0) return;//没有子节点
dfs2(hs[u], topf);//先处理重子节点
for(auto i : e[u])//后处理轻子节点
{
if(i == fa[u] || i == hs[u]) continue;
dfs2(i, i);
//每个轻子节点都有一条以它为链顶的重链
}
}
/*
因为先处理重子节点,后处理轻子节点
所以每条重链的新编号是连续的
因为 DFS,所以每个子树的新编号也是连续的
*/
signed main()
{
cin >> n >> m >> root >> mod;
for(int i = 1; i <= n; i ++) scanf("%lld", &w[i]);
for(int i = 1; i < n; i ++)
{
scanf("%lld%lld", &x, &y);
e[x].push_back(y);
e[y].push_back(x);
}
dfs1(root, 0);
dfs2(root, root);
T.build(1, 1, n);
while(m --)
{
scanf("%lld", &op);
if(op == 1)
{
scanf("%lld%lld%lld", &x, &y, &z);
Rmodify(x, y, z);
}
else if(op == 2)
{
scanf("%lld%lld", &x, &y);
printf("%lld\n", Rquery(x, y));
}
else if(op == 3)
{
scanf("%lld%lld", &x, &z);
T.modify(1, id[x], id[x] + siz[x] - 1, z);
}
else
{
scanf("%lld", &x);
printf("%lld\n", T.query(1, id[x], id[x] + siz[x] - 1));
}
}
return 0;
}
树链剖分求 LCA
大致过程与树剖做树上路径操作一样,都是在重链上跳,时间复杂度为 \(O(\log n)\)。
int LCA(int x, int y)
{
while(top[x] != top[y])
{
if(dep[top[x]] < dep[top[y]]) swap(x, y);
x = fa[top[x]];
}
if(dep[x] < dep[y]) return x;
else return y;
}
代码实现也比倍增求 LCA 简单一些。

浙公网安备 33010602011771号