python多继承
首先在说多继承之前,先讲两组概念:
1.经典类和新式类
在python2.x及之前的版本,由任意内置类型派生出的类,都是"新式类";相反的是,不是由任意内置类型派生出的类,叫“经典类”;
这俩区分在python3之后就没有"经典类"了,因为所有的类都派生自内置类型object类,不管有没有显示的或者隐式的继承object类,所以python3之后的类都是"新式类"。
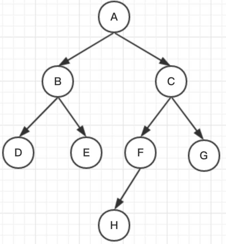
2.广度优先和深度优先

1)广度优先遍历:
从 H 开始往上搜索到 F, 若 F 没有数据, 则搜索和 F 同级的 G 里的数据, 若同级的 G 里还是没有数据,再继续往上搜索到 C, 若 C 还没有就再继续搜索到 A
2)深度优先遍历:
从 H 开始往上搜索到 F, 若 F 没有数据, 则继续往上搜索到 C, 若 C 还没有数据, 则再往上搜顶层 A
python3的类继承都是按照广度优先来继承的
python3类多继承顺序
class Animal:
"""这是个动物"""
def __init__(self, can_fly = False):
print("调用Animal __init__() 函数当实例化时!")
self.can_fly = can_fly
def fly(self):
if self.can_fly:
print("我可以飞!")
else:
print("我不能飞!")
class AnimalB():
"""这是个动物"""
def __init__(self, can_fly = False):
print("调用 AnimalB __init__() 函数当实例化时!")
self.can_flyb = can_fly
def flyb(self):
if self.can_flyb:
print("我可以飞b!")
else:
print("我不能飞b!")
class Dog(AnimalB,Animal):
def __init__(self):
super().__init__()
print("子类中的构造函数")
"""这是一条狗"""
def bark(self):
print("汪汪!")
if __name__ == '__main__':
d = Dog()
d.flyb()
>>>
调用 AnimalB __init__() 函数当实例化时!
子类中的构造函数
我不能飞b!

浙公网安备 33010602011771号