数据结构 —— 树

概念
-
父结点:当一个结点有子节点,该结点称为其的父结点
-
子节点:一个结点含有的子树的根结点称为该结点的子结点
-
兄弟结点:拥有相同父结点的结点互称为兄弟结点
-
结点的度:一个结点拥有的子树的个数称为该结点的度
-
树的度:一棵树中,最大的结点度称为树的度
-
结点层次:从根开始算,根为第一层,根的子结点为第二层,以此类推
-
树的深度或高度:树中结点的最大层次数
-
森林:m棵互不相交的树的集合(把树的根结点删除就成了森林)
二叉树
概念
每个结点至多有两棵子树,当结点数等于0时,为空二叉树,大于0时,有左右之分,顺序不能颠倒
特殊的二叉树
斜树
所有的结点都在左子树的二叉树称为左斜树,所有结点都在右子树的二叉树称为右斜树,它们合称为斜树

满二叉树
当二叉树的每一层的结点数都达到最大值称为满二叉树

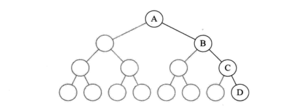
完全二叉树
除了最后一层所有层的结点数都达到最大值,最后一层的结点按照从左到右的顺序排列

二叉排序树
左子树上的所有结点的关键字都小于根结点的关键字,右结点上的所有结点的关键字都大于根节点的关键字,左子树和右子树各是一棵二叉排序树
平衡二叉树
树上任一结点的左右子树的高度之差绝对值不超过1,它的左子树和右子树都是平衡二叉树,另外结点的平衡因子 = 左子树高度 - 右子树高度,在平衡二叉树中任何一个结点的平衡因子只能是0、1、-1
二叉树的存储结构
顺序存储结构
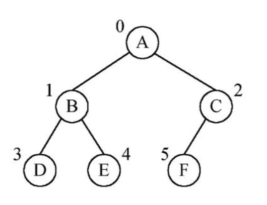
对于完全二叉树,结点按照从上到下、从左到右的顺序进行编号

对于非完全二叉树,需要通过补充空子树的方法,将非完全二叉树变为完全二叉树,然后进行顺序存储,但是如果考虑一种极端情况,树为右斜树或者左斜树,这样存储空间会浪费很多,所以改变,采用两条链分别连接左右两个子树,就是链式存储结构

二叉链表
采用两条链分别连接左、右孩子,每个结点有三个域:data 存储数据元素,left、right 分别指向左、右孩子结点,结构如下



浙公网安备 33010602011771号