279. 完全平方数
2021-06-11 LeetCode每日一题
链接:https://leetcode-cn.com/problems/perfect-squares/
标签:广度优先搜索、数学、动态规划、完全背包问题
题目
给定正整数 n,找到若干个完全平方数(比如 1, 4, 9, 16, …)使得它们的和等于 n。你需要让组成和的完全平方数的个数最少。
给你一个整数 n ,返回和为 n 的完全平方数的 最少数量 。
完全平方数 是一个整数,其值等于另一个整数的平方;换句话说,其值等于一个整数自乘的积。例如,1、4、9 和 16 都是完全平方数,而 3 和 11 不是。
输入:n = 12
输出:3
解释:12 = 4 + 4 + 4
输入:n = 13
输出:2
解释:13 = 4 + 9
1 <= n <= 104
分析
这题解法有好多,容易想到的就是BFS和完全背包。
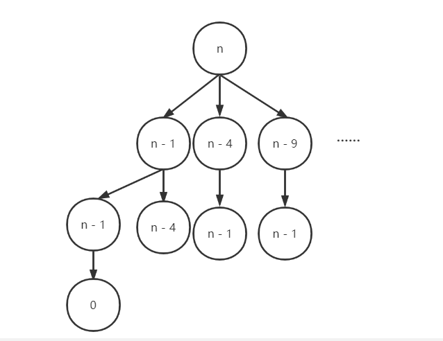
(1)BFS解法:可以把所有的数想成一颗多叉树,n为根节点,每个数减去所有可能的平方数得到的差值作为它的子节点,如此下去,最先为0的数所在的层数即我们所需要的的答案。

BFS就是常规的BFS,但是在这个过程中需要进行剪枝,去掉一些重复走过的数字,不然可能超时。选择一个合适的数据结构也很重要,比如我一开始打算使用List来存放走过的节点,在这过程中需要判断节点是否存在List中,如果不存在,则加入List,但很无奈,在一些测试数据上,它超时了,比如9999这个测试数据。

后来想想,用一个boolean数组去存不是更快吗?用下标只需要O(1)的时间复杂度,果不其然,带来了质的飞跃。所以在做题的时候,选择一个合适的数据结构也很重要。
(2)完全背包问题:这题可以把n当做背包的总容量,把完全平方数当做物品的重量,题目就转换为,用最少的物品放满背包,物品可以重复选择。这就是一个典型的完全背包问题了。
定义dp[i] 表示当背包容量为i时,放满背包的最少物品数量。
- 对于任意容量i,dp[i]初始值为i,即最坏的情况,装i个重量为1 * 1的物品。
- 如果当前重量为num的物品能够装入背包,则dp[i] = dp[i - num] +1,如果不能装入背包,则dp[i] = dp[i]。所以dp[i] = min(dp[i - num] + 1, dp[i])
- 最终结果为dp[n]
(3)数学法。即四平方定理:任何一个正整数都可以表示成不超过4个整数的平方之和。(这解法估计大部分人都不知道。。)

- 所以答案只能是[1, 2, 3, 4]中的一个。
- 如果一个数可以表示成4个整数的平方和,那么这个数一定满足公式 n = (4^a)*(8b+7)
- 如果一个是本身就是完全平方数,那么答案就是1。
- 如果答案是2,那么n = a ^ 2 + b ^ 2,那么可以枚举a进行验证
- 剩下的答案就是3,
编码
BFS:
class Solution {
public int numSquares(int n) {
Queue<Integer> queue = new LinkedList<>();
queue.offer(n);
int res = 0;
// 记录已经走过的数
boolean[] visited = new boolean[n + 1];
while (!queue.isEmpty()) {
int size = queue.size();
for (int i = 0; i < size; i++) {
int count = 1;
int num = queue.poll();
if (num == 0) {
return res;
}
for (int j = 1; j <= n; j = count * count) {
count++;
if (num >= j && !visited[num - j]) {
visited[num - j] = true;
queue.offer(num - j);
}
}
}
res++;
}
return -1;
}
}

完全背包问题:
class Solution {
public int numSquares(int n) {
int[] dp = new int[n + 1];
for (int i = 1; i <= n; i++) {
// 初始化为i,即最坏的情况,全部装入重量为1的物品
dp[i] = i;
for (int j = 1; i - (j * j) >= 0; j++) {
dp[i] = Math.min(dp[i - (j * j)] + 1, dp[i]);
}
}
return dp[n];
}
}

数学法:
class Solution {
public int numSquares(int n) {
// 根据公式 n = (4^a)*(8b+7)缩小n
while (n % 4 == 0) {
n /= 4;
}
// 如果满足公式,则返回
if (n % 8 == 7) {
return 4;
}
// 判断缩小后的数是否可以由一个数的平方或者两个数的平方和组成
int a = 0;
while ((a * a) <= n) {
int b = (int)Math.sqrt(n - a * a);
if (a * a + b * b == n) {
if (a != 0 && b != 0) {
return 2;
} else {
return 1;
}
}
a++;
}
return 3;
}
}


浙公网安备 33010602011771号