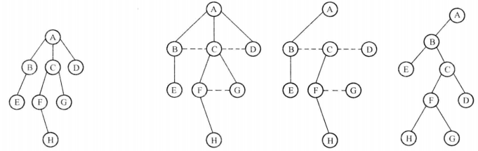
树、森林与二叉树的互相转换
1.树转为二叉树
(1)从根节点往下开始,所有兄弟节点间连接虚线。
(2)擦掉 除根节点所连最左边的那条线以外的同层所有实线。
(3)实线作为lchild所连的线,虚线作为rchild所连的线,全部线画实。
以下图为例:

2.森林转换为二叉树
(1)将森林中所有的树全部转换为二叉树。
(2)从第二棵树开始,将第 i 棵树的根节点,作为第 i - 1 棵树的rchild。
以下图为例:

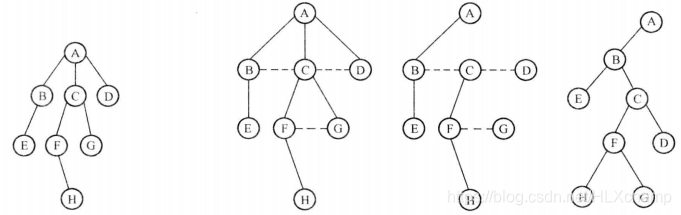
3.二叉树还原为树或森林
(1)从根节点开始,lchild的rchild(rchild的rchild...),与其根节点虚线相连。
(2)删除所有根节点与rchild相连的实线。
(3)虚线画实。
以下图为例:

图片用的是:(11条消息) 树,森林和二叉树的关系_HLXchamp的博客-CSDN博客_森林和二叉树
讲的很好,整理了下,嗨嗨嗨。

浙公网安备 33010602011771号