链表6:链表相交(面试题02.07)
本题如下:(链接:https://leetcode.cn/problems/intersection-of-two-linked-lists-lcci/)
题目:给你两个单链表的头节点 headA 和 headB ,请你找出并返回两个单链表相交的起始节点。如果两个链表没有交点,返回 null 。
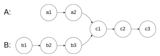
图示两个链表在节点 c1 开始相交:

题目数据 保证 整个链式结构中不存在环。
注意,函数返回结果后,链表必须 保持其原始结构 。



思路:这道题其实并不复杂,简单来说,就是求两个链表交点节点的指针。 这里需要注意,交点不是数值相等,而是指针相等。
为了方便举例,假设节点元素数值相等,则节点指针相等。
看如下两个链表,目前curA指向链表A的头结点,curB指向链表B的头结点:

我们求出两个链表的长度,并求出两个链表长度的差值,然后让curA移动到,和curB 末尾对齐的位置,如图:

此时我们就可以比较curA和curB是否相同,如果不相同,同时向后移动curA和curB,如果遇到curA == curB,则找到交点。
否则循环退出返回空指针。
那么就可以得到相应的C++代码:
1 class Solution { 2 public: 3 ListNode *getIntersectionNode(ListNode *headA, ListNode *headB) { 4 ListNode* curA = headA; 5 ListNode* curB = headB; 6 int lenA = 0, lenB = 0; 7 while (curA != NULL) { // 求链表A的长度 8 lenA++; 9 curA = curA->next; 10 } 11 while (curB != NULL) { // 求链表B的长度 12 lenB++; 13 curB = curB->next; 14 } 15 curA = headA; 16 curB = headB; 17 // 让curA为最长链表的头,lenA为其长度 18 if (lenB > lenA) { 19 swap (lenA, lenB); 20 swap (curA, curB); 21 } 22 // 求长度差 23 int gap = lenA - lenB; 24 // 让curA和curB在同一起点上(末尾位置对齐) 25 while (gap--) { 26 curA = curA->next; 27 } 28 // 遍历curA 和 curB,遇到相同则直接返回 29 while (curA != NULL) { 30 if (curA == curB) { 31 return curA; 32 } 33 curA = curA->next; 34 curB = curB->next; 35 } 36 return NULL; 37 } 38 };
其中,时间复杂度为:O(n + m),空间复杂度为:O(1)。
同样地,下面给出Java版本的代码:
1 public class Solution { 2 public ListNode getIntersectionNode(ListNode headA, ListNode headB) { 3 ListNode curA = headA; 4 ListNode curB = headB; 5 int lenA = 0, lenB = 0; 6 while (curA != null) { // 求链表A的长度 7 lenA++; 8 curA = curA.next; 9 } 10 while (curB != null) { // 求链表B的长度 11 lenB++; 12 curB = curB.next; 13 } 14 curA = headA; 15 curB = headB; 16 // 让curA为最长链表的头,lenA为其长度 17 if (lenB > lenA) { 18 //1. swap (lenA, lenB); 19 int tmpLen = lenA; 20 lenA = lenB; 21 lenB = tmpLen; 22 //2. swap (curA, curB); 23 ListNode tmpNode = curA; 24 curA = curB; 25 curB = tmpNode; 26 } 27 // 求长度差 28 int gap = lenA - lenB; 29 // 让curA和curB在同一起点上(末尾位置对齐) 30 while (gap-- > 0) { 31 curA = curA.next; 32 } 33 // 遍历curA 和 curB,遇到相同则直接返回 34 while (curA != null) { 35 if (curA == curB) { 36 return curA; 37 } 38 curA = curA.next; 39 curB = curB.next; 40 } 41 return null; 42 } 43 44 }
本文来自博客园,作者:Ricentch,转载请注明原文链接:https://www.cnblogs.com/cnwsh/p/16576983.html

浙公网安备 33010602011771号