加法变乘法
我们都知道:1+2+3+ … + 49 = 1225
现在要求你把其中两个不相邻的加号变成乘号,使得结果为2015
比如:
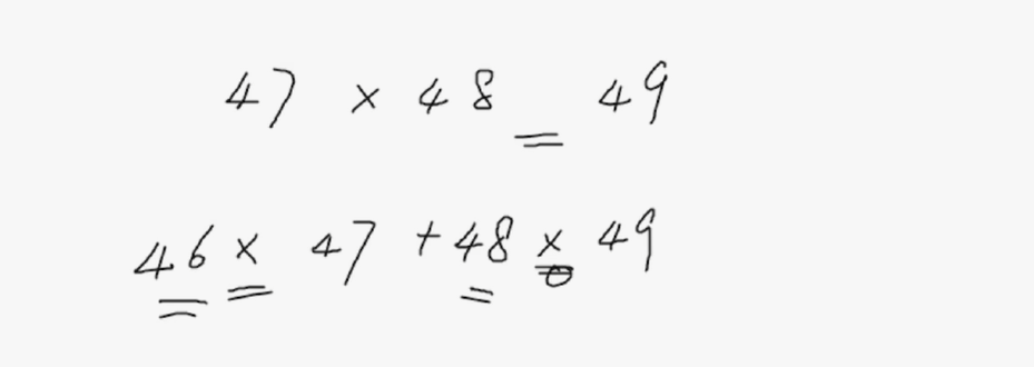
1+2+3+…+1011+12+…+2728+29+…+49 = 2015
就是符合要求的答案。
请你寻找另外一个可能的答案,并把位置靠前的那个乘号左边的数字提交(对于示例,就是提交10)。
注意:需要你提交的是一个整数,不要填写任何多余的内容。
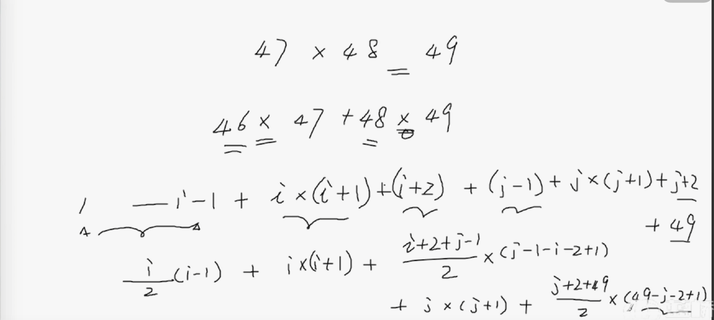
首先确定第一个乘号最终只能放到46的位置,第二个乘号可以放到48的位置

可以用等差数列来解

也可以用它们的差值来解比如以下这样,无非就是把i+i+1换成了ii+1所以只要满足这个公式就行
i(i+1)-(i+i+1)==它们的差值

package com.itheima.Test;
public class _加法变乘法 {
public static void main(String[] args) {
for(int i =0;i<46;i++){
for(int j =i+2;j<48;j++){
if(i*(i+1)-(i+i+1)+j*(j+1)-(j+j+1)==2015-1225){
System.out.println(i+" "+j);
}
}
}
}
}

浙公网安备 33010602011771号