UML用例图和类图
1.用例图
关联关系:参与者使用某个用例,箭头指向消息接收方。

泛化关系:子用例继承父用例,箭头指向父用例。

包含关系:用例分解出的各步骤,箭头指向分解出来的用例。

扩展关系:箭头指向基础用例。

依赖关系:箭头指向被依赖项。

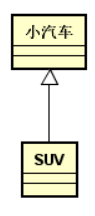
2.类图
泛化关系:空心三角实线箭头,继承非抽象类

实现关系:空心三角虚线箭头,继承抽象类、接口

聚合关系&组合关系:空心、实心菱形实线箭头,A箭头指向B,表示B由A组成。是整体与部分的关系
组合关系(实心)偏重强依赖,表示整体不存在的话部分也不存在,例如, 公司不存在了,部门也将不存在了;聚合关系(空心)则不同,表示的是即使整体不存在了,部分仍然存在;例如, 部门撤销了,人员不会消失,他们依然存在。

关联关系:用直线表示时,说明双方互相知道;若强调方向,例如A指向B,表示A知道B,B不知道A
是一种拥有的关系,它使一个类知道另一个类的属性和方法;

依赖关系:A依赖于B,是一种使用的关系
【代码表现】:局部变量、方法的参数或者对静态方法的调用。


浙公网安备 33010602011771号