实用指南:养老服务管理系统的设计与实现 —免费毕设源码分享22412
随着我国老龄化社会的加剧,养老服务需求日益增加,如何提高养老服务的质量与管理效率成为社会关注的要紧课题。本论文旨在设计与实现一个基于Spring Boot、Java和MySQL的养老服务管理系统,通过现代化信息技术手段提升养老服务的智能化、便捷性和高效性,以满足不同用户群体(老人用户、家属用户、管理员和护理人员)的需求。
本体系通过四种用户角色的功能设计,提供全面的养老服务管理。对于老人用户,系统协助登录注册、健康档案管理、生活记录、服务预约、服务评价、一键报警等功能,确保老人能够享受个性化的照护服务。家属用户可以随时查看老人的健康状况、生活记录以及服务评价等,辅助家属更好地了解老人的需求与服务质量。管理员负责框架的全面管理,包括用户管理、服务管理、财务管理、排班管理等,以保证系统的正常运作和服务的高效调度。护理人员则可能凭借系统查看服务预约、排班信息和服务评价,确保为老人提供及时、优质的服务。
系统采用Spring Boot框架进行后台开发,MySQL数据库存储和管理数据,经过RESTful API实现前后端分离,确保系统具有良好的扩展性和维护性。借助该系统,能够实现对养老服务的全面监控与管理,提高养老机构的运营效率,提升老年人的生活质量,同时也为家属提供了一个便捷的监护平台。
本论文通过对系统的设计与实现进行详细阐述,展示了如何依据现代信息技术解决养老服务管理中存在的问题,为养老行业的信息化建设提供参考与借鉴。
关键词:养老服务管理;Spring Boot;Java;MySQL;框架设计;服务优化;用户管理
With the intensification of China's aging society, the demand for elderly care services is increasing day by day. How to improve the quality and management efficiency of elderly care services has become an important issue of social concern. The aim of this paper is to design and implement an elderly care service management system based on Spring Boot, Java, and MySQL, which aims to enhance the intelligence, convenience, and efficiency of elderly care services through modern information technology methods, in order to meet the needs of different user groups (elderly users, family users, managers, and caregivers).
This system provides comprehensive elderly care service management through the functional design of four user roles. For elderly users, the system supports login and registration, health record management, life recording, service appointment, service evaluation, one click alarm and other functions to ensure that the elderly can enjoy personalized care services. Family members can check the health status, life records, and service evaluations of the elderly at any time, helping them better understand their needs and service quality. Administrators are responsible for the comprehensive management of the system, including user management, service management, financial management, scheduling management, etc., to ensure the normal operation of the system and efficient scheduling of services. Nursing staff can view service appointments, scheduling information, and service evaluations through the system to ensure timely and high-quality services are provided to the elderly.
The system adopts the Spring Boot framework for backend development, MySQL database for storing and managing data, and implements front-end and back-end separation through RESTful API to ensure good scalability and maintainability of the system. Through this system, comprehensive monitoring and management of elderly care services can be achieved, improving the operational efficiency of elderly care institutions, enhancing the quality of life of the elderly, and providing a convenient monitoring platform for family members.
This paper elaborates on the design and implementation of the system, demonstrating how to solve the problems in elderly care service management through modern information technology, and providing reference and inspiration for the informationization construction of the elderly care industry.
Keywords: elderly care service management; Spring Boot; Java; MySQL; System design; Service optimization; User Management
目 录
1绪论
1.1研究背景与意义
随着全球人口老龄化的进程不断加快,养老服务的需求呈现出显著增长趋势。传统的养老院管理模式面临诸多挑战,包括信息管理不畅、服务效率低下、运营成本高等问题,亟需通过信息化手段提升管理水平和服务质量。随着互联网技术的发展,利用先进的信息系统对养老服务进行管理和优化,已经成为行业发展的关键方向。
在现代养老服务管理中,信息化技巧能够有效解决传统管理方式中的许多弊端,依据系统化、自动化的手段提升各类服务的效率与准确性,确保老人能够获得及时、专业的照料。同时,信息系统的引入不仅能够优化养老院的资源配置、提升运营效率,还能够为老人提供更为便捷、个性化的服务,改善其生活质量。因此,开发一套高效、灵活且易于操作的养老服务管理系统,对于提高养老院的管理效率、优化服务流程具有重要的实践意义。
SpringBoot框架作为一种轻量级的开发框架,凭借其快速开发、灵活性强、配置简单等特点,已广泛应用于各类企业级应用开发。基于SpringBoot的系统设计能够满足当前养老院对高效、稳定、易维护系统的需求。MySQL数据库的使用进一步增强了数据存储的稳定性与安全性,保证了系统在高并发情况下的响应能力。
借助本研究,能够为养老院提供一个全面、高效的管理平台,整合各类服务资源,提升服务质量,确保信息准确流转,帮助养老院构建管理的数字化、智能化,推动行业的发展。与此同时,系统的设计和实现也为相关领域的技术发展给予了实践经验,具有广泛的应用前景和社会价值。
1.2国内外研究现状
随着全球老龄化困难的 你 日益严重,养老服务的管理逐渐成为社会关注的重点。传统的养老院管理方式面临着信息化水平低、服务效率不高以及管理人员与资源配置不合理等问题。为了提升养老服务的质量和效率,国内外学者和技术人员在养老服务管理信息系统的研究与开发方面投入了大量精力。国内外关于养老服务管理系统的研究呈现出多样化的趋势,涵盖了从系统架构设计到具体功能搭建的广泛领域。
在国外,许多发达国家较早开始关注养老行业的信息化建设,尤其是在欧美地区,养老服务管理系统的研发较为成熟。一些国家的养老院已经采用信息化管理系统来提升服务效率,如基于Web的管理平台,能够整合老人健康信息、服务预约、账单管理等效果,极大地提高了养老院的管理水平。这些框架通常注重服务的个性化和人性化,能够凭借自动化工具进行资源调度、人员管理与服务监控,从而优化养老院的运营。与此同时,国外的研究还探讨了如何通过系统集成与数据分析来提高养老服务的质量和老人生活的满意度。
在国内,随着信息技术的快速发展,养老服务管理的数字化转型开始逐步推进。近年来,国内一些研究者开始着手开发和设计符合中国国情的养老服务管理系统,尝试将信息技术与传统的养老服务管理结合,以提高服务质量和管理效率。国内的研究集中在如何根据不同老年人群体的需求,设计更为精细化的管理机制,并处理老龄化社会带来的服务挑战。很多系统在设计上注重简洁性与易操作性,使得老年人能够在较低的技术门槛下使用平台,进行服务预约、健康数据查询等日常处理。此外,国内的相关研究还探讨了如何将老年人健康管理与智能设备结合,提升服务的精准度和及时性。
尽管国内外在养老服务管理系统的设计与实施方面已经取得了显著进展,但仍然存在一些问题和挑战。例如,现有系统的功能模块多样性不足,系统的可扩展性和灵活性有待提升,同时体系之间的数据共享和互联互通仍存在一定的障碍。此外,尽管一些养老院已逐步引入信息化管理手段,但整体信息化水平仍不均衡,尤其是在基层养老机构,信息化建设滞后,无法有效支撑复杂的管理需求。
综合来看,国内外的研究现状表明,养老服务管理系统的设计与搭建尚处于不断发展和完善的阶段。尽管许多国家和地区已成功应用信息化手段提升养老服务的管理水平,但仍需在系统的功能拓展、技术集成、数据共享等方面进行持续探索。
2相关技术简介
2.1Java语言
Java语言是一种广泛使用的高级编程语言,具有平台无关性、面向对象特性和丰富的标准库[1]。Java通过Java虚拟机(JVM)达成跨平台运行,开发者可以编写一次代码,在任何支持JVM的环境中执行。Java的面向对象特性使得代码复用和模块化变得更加容易,促进了软件的维护和扩展。Java支持多线程编程,允许开发者在同一程序中同时执行多个任务,提升了应用程序的性能。
Java语言的语法结构简洁且易于理解,吸引了大量开发者[2]。Java的标准库包含数据结构、输入输出处理、网络编程等众多功能模块。这使得开发者在构建应用程序时能够高效利用已有工具,减少重复劳动。Java广泛应用于企业级应用、移动应用、Web开发和大数据处理等领域。
2.2 B/S框架
B/S(Browser/Server)架构是一种基于浏览器和服务器的系统架构模式,用户通过浏览器与服务器进行交互。B/S架构简化了客户端的部署和管理,用户无需在本地安装复杂的软件,只需使用标准浏览器即可访问应用程序。服务器端负责处理业务逻辑和数据存储,客户端则主要负责展示用户界面和数据交互[3]。B/S架构的设计使得框架更新和维护集中在服务器端,降低了维护成本。
通过B/S架构通常采用Web技术进行建立,包括HTML、CSS和JavaScript等。用户在浏览器中发起请求,服务器响应并返回数据。数据传输通常通过HTTP或HTTPS协议进行,B/S架构的灵活性使其适用于在线购物、信息管理系统和社交网络等各类应用场景[4]。由于其易于扩展性,B/S架构能够方便地支持大规模用户访问,适应不断变化的业务需求。
2.3 SpringBoot框架
基于Spring框架的开源项目,简化Java应用程序的制作过程。SpringBoot通过约定优于配置的理念,减少了传统Spring应用的繁琐配置,开发者可以快速搭建和部署应用程序。框架提供了一系列默认配置,支持自动化配备,简化了应用启动的复杂性[5]。SpringBoot内置了嵌入式Web服务器,使得开发者能够独立运行Java应用,无需外部容器。就是SpringBoot框架
SpringBoot承受微服务架构,开发者可以轻松创建和管理多个微服务。框架集成了丰富的功能模块,包括安全、材料访问和消息中间件等,支持RESTful API和JSON数据格式的处理[6]。SpringBoot还提供了强大的监控和管理作用,允许开发者实时监控应用的健康状态和性能指标。借助SpringBoot,开发者能够高效构建和维护现代企业级应用,满足复杂业务需求。
2.4 Vue技术
一种渐进式JavaScript框架,专注于构建用户界面。Vue采用组件化的研发模式,允许开发者将应用程序拆分为独立的、可重用的组件,从而提高了研发效率和代码的可维护性[7]。框架的核心库专注于视图层,支持信息绑定和DOM操作,提供了简洁的API。Vue的虚拟DOM机制提升了应用的性能,减少了实际DOM操作的次数。就是Vue
通过Vue支持双向素材绑定,能够自动更新视图与模型之间的变化。开发者能够通过Vue的指令系统,简化数据展示和事件处理。Vue还支持路由管理和状态管理,使得开发复杂单页面应用变得更加容易[8]。借助Vue的生态系统,开发者能够使用多种工具和库来扩展机制,满足不同的业务需求。Vue在前端开发中逐渐成为主流选择,受到广泛关注和应用。
2.5 MySQL数据库
MySQL是一种开源关系型数据库管理系统,广泛应用于Web应用和企业级资料存储。MySQL帮助结构化查询语言,允许开发者通过标准语句进行数据的创建、读取、更新和删除操作[9]。数据库依据表格形式组织内容,支持数据完整性和约束条件的定义。MySQL的存储引擎机制使得用户可以根据具体需求选择不同的存储引擎,以优化性能和功能。
MySQL具有高性能和可扩展性,协助大规模数据存储和高并发访问。系统提供了丰富的用户权限管理和数据加密安全特性。MySQL能够与多种编程语言和框架兼容,广泛应用于内容管理系统、电子商务平台和数据分析等各种场景。
3系统需求分析
3.1系统作用需求分析
本论文设计并构建了一个基于SpringBoot框架的养老服务管理系统,该系统通过精确划分不同角色用户的功能需求,供应了全面而高效的养老服务管理方案。系统重要包括老人用户、家属用户、管理员以及护理人员四种角色,每种角色根据其特定的职能和权限,提供不同的功能模块。
1.老人用户功能分析
老人用户是系统的核心用户之一,设计的功能旨在提供全面的个性化服务,辅助老人更好地管理日常生活,获得专业的养老服务。
登录注册:老人用户可以通过注册账户并登录系统,进行个性化设置,确保账户信息安全。注册时应该填写相关的个人信息,如姓名、年龄、联系方式等。
首页:展示体系的核心内容,包括公告信息、新闻资讯、养老服务等,支援老人获取最新动态。
公告信息:系统展示养老机构发布的重要通知,帮助老人及时了解各类关键信息。
新闻资讯:提供与老人生活相关的新闻资讯,如健康生活、养生常识等,增加老人对系统的使用黏性。
养老服务:提供详细的养老服务介绍,如日常护理、心理关怀等,老人可根据需求选择相应服务。
一键报警:为紧急情况给出快速反应通道,老人可在遇到突发情况时按下“一键报警”按钮,迅速联系管理员或护理人员。
我的账户:老人用户可以查看和修改个人账户信息,包括个人资料、账户余额、服务记录等。
个人中心:
个人首页:展示个人基本信息和健康状况概览,提供飞快导航到其他功能模块。
健康档案:老人允许输入或更新个人的健康信息,如疾病史、过敏史、用药记录等,供护理人员参考。
通过生活记录:老人能够记录日常生活的情况,如饮食、作息、锻炼等,帮忙更好地管理个人健康。
服务预约:老人允许查看并预约养老服务,如护理、陪伴等,完成在线支付。
服务评价:老人可以对已享受的服务进行评价,提供反馈,协助改进服务质量。
一键报警:紧急情况下,老人可通过一键报警功能寻求帮助,系统会及时处理。
收藏:老人可以收藏自己感兴趣的服务项目或新闻资讯,便于后续查阅。
2.家属用户功能分析
家属用户主导关注老人健康和服务情况,架构为家属提供了全面的管理和监督功能,以便家属能够随时了解老人的状况并做出相应的安排。
登录注册:家属用户注册并登录系统,确保账户安全和个人隐私保护。
首页:展示系统主导内容和动态信息,包括公告、新闻资讯、养老服务等,方便家属了解最新情况。
公告信息:家属行查看养老机构发布的公告,及时掌握重要信息。
新闻资讯:家属许可浏览与老人相关的健康资讯,增加对老年生活的关注与了解。
养老服务:家属可以查看养老服务的详细信息,了解养老院提供的各项服务。
我的账户:家属用户可以管理账户信息,查看余额、支付记录等。
个人中心:
个人首页:家属可以查看个人主要信息和管理界面。
健康档案:家属可以查看老人的健康档案,了解老人当前的健康状况。
生活记录:家属可以查看老人日常的生活记录,以了解老人的生活状态。
服务预约:家属可以查看老人预约的服务情况,确保老人得到及时的关照。
服务评价:家属可以查看老人对服务的评价,辅助他们了解养老服务质量。
一键报警:家属能够查看老人是否使用过一键报警效果,了解老人是否遇到紧急情况。
通过收藏:家属能够收藏相关的服务或资讯,便于后续管理和查阅。
3.管理员功能分析
管理员负责整个养老服务系统的运营管理,拥有对所有用户和服务的全面控制权。管理员的主导特性是管理用户、服务内容、数据记录等。
通过后台首页:管理员能够查看系统的概况,包括用户统计、服务统计、财务报表等,方便进行整体运营分析。
平台用户:管理员可能管理系统中所有用户的账户信息,包括老人用户、家属用户、护理人员等的注册、删除、权限设置等操作。
健康档案管理:管理员许可查看并管理老人的健康档案,确保数据的准确性和更新。
生活记录管理:管理员可能查看和审核老人记录的生活信息,帮忙制定更加精细的服务方案。
养老服务管理:管理员可能管理所有提供的养老服务,包括服务种类、服务内容、服务价格等。
通过服务预约管理:管理员能够查看、审批和管理老人的服务预约情况,确保服务的及时安排。
服务评价管理:管理员可以查看老人对服务的评价,进行统计和分析,优化服务质量。
一键报警管理:管理员行查看一键报警的记录,及时处理老人紧急情况。
排班信息管理:管理员允许录入护理人员的排班信息,确保每位护理人员的工作安排合理。
考勤记录管理:管理员可以录入并管理护理人员的考勤记录,确保员工考勤信息准确。
财务报表管理:管理员允许查看和记录财务报表,确保系统的财务透明和合规。
轮播图管理:管理员可以管理网站或应用中的轮播图,更新展示的内容。
公告信息管理:管理员允许发布和更新公告信息,确保环境用户及时获取核心通知。
资源管理(新闻资讯、资讯分类):管理员可能管理养老相关的新闻资讯,并进行分类管理,提升资讯的可查阅性。
权限管理:管理员负责管理各类用户的权限,确保每个用户只访问自己授权的功能模块。
运行日志:管理员允许查看系统的操作日志,确保所有管理的可追溯性,防止系统滥用或出现安全问题。
4.护理人员功能分析
护理人员负责日常的养老服务执行,他们的功能主要集中在服务管理和日常记录方面。
后台首页:护理人员行查看自己的工作安排、服务评价等,援助进行日常工作管理。
服务预约管理:护理人员可能查看老人预约的服务内容和时间安排,确保按时给予服务。
服务评价管理:护理人员能够查看老人对自己服务的评价,从而改进服务质量。
排班信息管理:护理人员可以查看自己的排班信息,安排自己的工作时间。
凭借上述功能设计,系统能够充分满足不同用户群体的需求,确保养老服务的高效、个性化管理与服务。
3.2架构非功能性分析
基于SpringBoot的养老服务管理系统在撰写框架毕业论文时,非功能性需求分析是一个重点的部分。非功能性需求主要关注的是架构如何运行,而不是它具体结束什么特性。这些需求包括性能、可用性、安全性、可维护性、可扩展性、易用性等方面。以下是一个关于基于SpringBoot的养老服务管理系统非功能性需求分析的概要。
性能需求:框架需确保快速响应和高吞吐量,以支持大量用户同时访问,即使在高峰时段也能保持流畅的操作体验,避免因延迟或卡顿影响用户体验。
可用性:安系统必须具备高可用性,采用冗余部署、负载均衡等策略,确保即使部分组件故障也能迅速恢复服务,减少服务中断时间,保障用户业务的连续性。
安全性:鉴于系统处理用户敏感信息,如个人信息等,必须实施严格的安全措施,包括资料加密、访问控制、防攻击机制等,以保护用户数据免受未授权访问或泄露。
可维护性:系统设计应注重可维护性,采用模块化、标准化的架构,提供详尽的开发文档和用户手册,确保系统易于理解和维护,降低长期运维成本。
可扩展性:随着业务的发展,系统可能需要扩展功能或提升性能。因此,系统需具备灵活的可扩展性,能够轻松添加新模块、优化性能,以应对未来增长的需求。
易用性:用户界面应直观易用,符合用户习惯,提供清晰的导航和友好的操作反馈,辅助用户高效上手并高效做完任务,提升整体用户满意度。
3.3系统可行性分析
经过基于SpringBoot的养老服务管理系统的可行性分析,我们可以从工艺可行性、经济可行性、操作可行性三个维度进行深入探讨,以确保系统的开发与应用具有坚实的可行性基础。
3.3.1技术可行性
Springboot作为目前流行的Java企业级应用开发框架,以其“约定优于配置”的原则,极大地简化了创建流程,降低了技术门槛。同时,结合MyBatis Plus这一强大的ORM框架,可以高效实现数据持久化操控。MySQL数据库作为后端数据存储,以其高性能和稳定性为平台提供了可靠的数据支持。综上所述,从技术角度来看,该系统的制作具备高度可行性。
3.3.2经济可行性
考虑到Springboot、MyBatis Plus及MySQL等均为开源科技,无需支付高昂的许可费用,大大降低了系统的开发成本。同时,这些技术拥有广泛的用户群体和成熟的社区支持,便于获取技术支持和资源共享。此外,系统的实施将显著提升基于SpringBoot的养老服务管理系统的效率和用户体验,从而带来潜在的经济效益。因此,从经济角度来看,该框架的编写同样具备可行性。
3.3.3操作可行性
框架设计应遵循用户友好原则,确保用户能够轻松上手并高效使用。通过合理的界面布局、直观的操作流程以及详尽的帮助文档,可以大大降低用户的学习成本,提高系统的处理可行性。此外,系统还应具备完善的权限管理和数据安全机制,确保操作的安全性和合规性。
从技术、经济、操作三个维度来看,基于SpringBoot的养老服务管理系统的创建均具备高度的可行性。
3.4系统用例分析
基于SpringBoot的养老服务管理系统用例分析主要从老人用户、家属用户、护理人员、管理员这些实体展开描述。
3.4.1老人用户用例分析
老人用户具备登录注册、首页、公告信息、新闻资讯、养老服务、一键报警、我的账户、个人中心(个人首页、健康档案、生活记录、服务预约、服务评价、一键报警、收藏)等需求用例,详细用例图如图3-1所示。

图3-1老人用户用例图
3.4.2家属用户用例分析
家属用户具备登录注册、首页、公告信息、新闻资讯、养老服务、我的账户、个人中心(个人首页、健康档案、生活记录、服务预约、服务评价、一键报警、收藏)等需求用例,详细用例图如图3-2所示。

图3-2家属用户用例图
3.4.3管理员用例分析
管理员具备后台首页、系统用户、健康档案管理、生活记录管理、养老服务管理、服务预约管理、服务评价管理、一键报警管理、排班信息管理、考勤记录管理、财务报表管理、轮播图管理、公告信息管理、资源管理(新闻资讯、资讯分类)、权限管理、操作日志等需求用例。详细用例图如图3-3所示。

图3-3管理员用例图
3.4.4护理人员用例分析
护理人员具备后台首页、服务预约管理、服务评价管理、排班信息管理。详细用例图如图3-4所示。

图3-4护理人员用例图
4系统设计
4.1系统架构设计
环境采用SpringBoot 框架开发,该系统分为VIEW层、Controller层、Model层、DAO层和持久化数据存储层,VIEW层支持电脑浏览器访问系统。VIEW 层与 Controller 层紧密结合并系协同工作,共同完成前台页面的数据展示;Controller层为控制层,通过接收前端请求的参数进行业务处理,返回指定的路径或数据;Model层主要是服务层,用于业务逻辑处理;DAO 和持久化层,主要用于访问数据库和持久化数据[10]。整个系统架构如图4-1所示。

图4-1 环境架构图
4.2系统结构设计
养老服务管理系统的整体结构设计如图4-2所示。

图4-2整体功能结构设计图
4.3系统功能设计
4.3.1系统开发流程
基于SpringBoot的养老服务管理系统研发时,首先进行需求分析,进而对系统进行总体的设计规划,设计系统功能模块,数据库的选择等,本系统的创建流程如图4-3所示。

图4-3环境开发流程图
4.3.2 用户登录流程
为了保证系统的安全性,要使用本系统对平台信息进行管理,必须先登陆到系统中。如图4-4所示。

图4-4 登录流程图
4.3.3 系统操作流程
用户打开并进入架构后,会先显示登录界面,输入正确的用户名和密码,框架自动检测信息,若信息无误,则用户会进入平台功能界面,进行操作,否则会提示错误无法登录,操作流程如图4-5所示。

图4-5系统操作流程图
4.3.4 添加信息流程
管理员可以对公告信息、新闻资讯等进行信息的添加,用户行对自己权限内的信息进行添加,输入信息后,系统会自行验证输入的信息和内容,若信息正确,会将其添加到数据库内,若信息有误,则会提示重新输入信息,添加信息流程如图4-6所示。

图4-6 添加信息流程图
4.3.5 修改信息流程
管理员可以对公告信息、新闻资讯等进行的修改,用户可以对自己权限内的信息进行修改,首先进入修改信息界面,输入修改信息数据,系统进行素材的判断验证,修改信息合法则修改成功,信息更新至数据库,信息不合法则修改失败,重新输入。修改信息流程图如图4-7所示。

图4-7修改信息流程图
4.3.6 删除信息流程
否确定,若点击确定,则系统会删除掉选中的信息,并在数据库内对信息进行删除,删除信息流程图如图4-8所示。就是管理员可以对公告信息、新闻资讯等进行信息的删除,对要删除的信息进行选中后,点击删除按钮,架构会询问

图4-8删除信息流程图
4.4数据库设计
在进行数据库设计时,概念设计帮助明确系统的整体结构和需求。在这一阶段,需要确定实体、属性以及它们之间的关系,为后续的数据库表设计奠定基础。接下来,将深入探讨数据库表设计的具体细节,实现更高效的数据存储和管理。
4.4.1 概念设计
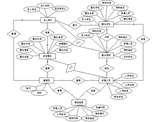
概念设计是数据库设计的第一步,其首要目标是对系统的数据需求进行全面的理解和抽象[11]。在这一阶段,通过建立实体-关系模型(ER模型)来识别系统中的关键实体、属性及其相互关系。概念设计的输出是一个清晰的ER图,作为后续数据库表设计的基础。以下将展示系统的全局E-R图。

图4-9系统ER图
4.4.2数据库表设计
这一阶段的重点是将概念模型转换为实际的数据库结构,包括表的创建、字段的定义及数据类型的选择。每个实体通常对应于数据库中的一张表,而实体的属性则转化为表的列[12]。以下是系统的数据库表设计展示。
表 4-1-access_token(登陆访问时长)
编号 | 字段名 | 类型 | 长度 | 是否非空 | 是否主键 | 注释 |
1 | token_id | int | 是 | 是 | 临时访问牌ID | |
2 | token | varchar | 64 | 否 | 否 | 临时访问牌 |
3 | info | text | 65535 | 否 | 否 | 信息 |
4 | maxage | int | 是 | 否 | 最大寿命:默认2小时 | |
5 | create_time | timestamp | 是 | 否 | 创建时间 | |
6 | update_time | timestamp | 是 | 否 | 更新时间 | |
7 | user_id | int | 是 | 否 | 用户编号 |
表 4-2-article(文章)
编号 | 字段名 | 类型 | 长度 | 是否非空 | 是否主键 | 注释 |
1 | article_id | mediumint | 是 | 是 | 文章id | |
2 | title | varchar | 125 | 是 | 是 | 标题 |
3 | type | varchar | 64 | 是 | 否 | 文章分类 |
4 | hits | int | 是 | 否 | 点击数 | |
5 | praise_len | int | 是 | 否 | 点赞数 | |
6 | create_time | timestamp | 是 | 否 | 创建时间 | |
7 | update_time | timestamp | 是 | 否 | 更新时间 | |
8 | source | varchar | 255 | 否 | 否 | 来源 |
9 | url | varchar | 255 | 否 | 否 | 来源地址 |
10 | tag | varchar | 255 | 否 | 否 | 标签 |
11 | content | longtext | 4294967295 | 否 | 否 | 正文 |
12 | img | varchar | 255 | 否 | 否 | 封面图 |
13 | description | text | 65535 | 否 | 否 | 文章描述 |
表 4-3-article_type(文章分类)
编号 | 字段名 | 类型 | 长度 | 是否非空 | 是否主键 | 注释 |
1 | type_id | smallint | 是 | 是 | 分类ID | |
2 | display | smallint | 是 | 否 | 显示顺序 | |
3 | name | varchar | 16 | 是 | 否 | 分类名称 |
4 | father_id | smallint | 是 | 否 | 上级分类ID | |
5 | description | varchar | 255 | 否 | 否 | 描述 |
6 | icon | text | 65535 | 否 | 否 | 分类图标 |
7 | url | varchar | 255 | 否 | 否 | 外链地址 |
8 | create_time | timestamp | 是 | 否 | 创建时间 | |
9 | update_time | timestamp | 是 | 否 | 更新时间 |
表 4-4-attendance_record(考勤记录)
编号 | 字段名 | 类型 | 长度 | 是否非空 | 是否主键 | 注释 |
1 | attendance_record_id | int | 是 | 是 | 考勤记录ID | |
2 | nursing_staff | int | 否 | 否 | 护理人员 | |
3 | name_of_personnel | varchar | 64 | 否 | 否 | 人员姓名 |
4 | time_of_attendance | date | 否 | 否 | 考勤时段 | |
5 | attendance_report | varchar | 255 | 否 | 否 | 考勤报表 |
6 | attendance_remarks | varchar | 64 | 否 | 否 | 考勤备注 |
7 | create_time | datetime | 是 | 否 | 创建时间 | |
8 | update_time | timestamp | 是 | 否 | 更新时间 |
表 4-5-auth(用户权限管理)
编号 | 字段名 | 类型 | 长度 | 是否非空 | 是否主键 | 注释 |
1 | auth_id | int | 是 | 是 | 授权ID | |
2 | user_group | varchar | 64 | 否 | 否 | 用户组 |
3 | mod_name | varchar | 64 | 否 | 否 | 模块名 |
4 | table_name | varchar | 64 | 否 | 否 | 表名 |
5 | page_title | varchar | 255 | 否 | 否 | 页面标题 |
6 | path | varchar | 255 | 否 | 否 | 路由路径 |
7 | parent | varchar | 64 | 否 | 否 | 父级菜单 |
8 | parent_sort | int | 是 | 否 | 父级菜单排序 | |
9 | position | varchar | 32 | 否 | 否 | 位置 |
10 | mode | varchar | 32 | 是 | 否 | 跳转方式 |
11 | add | tinyint | 是 | 否 | 是否可增加 | |
12 | del | tinyint | 是 | 否 | 是否可删除 | |
13 | set | tinyint | 是 | 否 | 是否可修改 | |
14 | get | tinyint | 是 | 否 | 是否可查看 | |
15 | field_add | text | 65535 | 否 | 否 | 添加字段 |
16 | field_set | text | 65535 | 否 | 否 | 修改字段 |
17 | field_get | text | 65535 | 否 | 否 | 查询字段 |
18 | table_nav_name | varchar | 500 | 否 | 否 | 跨表导航名称 |
19 | table_nav | varchar | 500 | 否 | 否 | 跨表导航 |
20 | option | text | 65535 | 否 | 否 | 配置 |
21 | create_time | timestamp | 是 | 否 | 创建时间 | |
22 | update_time | timestamp | 是 | 否 | 更新时间 |
表 4-6-a_key_alarm(一键报警)
编号 | 字段名 | 类型 | 长度 | 是否非空 | 是否主键 | 注释 |
1 | a_key_alarm_id | int | 是 | 是 | 一键报警ID | |
2 | dependents_users | int | 否 | 否 | 家属用户 | |
3 | elderly_users | int | 否 | 否 | 老人用户 | |
4 | old_mans_name | varchar | 64 | 否 | 否 | 老人姓名 |
5 | age_of_the_elderly | varchar | 64 | 否 | 否 | 老人年龄 |
6 | alarm_time | datetime | 否 | 否 | 报警时间 | |
7 | create_time | datetime | 是 | 否 | 创建时间 | |
8 | update_time | timestamp | 是 | 否 | 更新时间 |
表 4-7-code_token(验证码)
编号 | 字段名 | 类型 | 长度 | 是否非空 | 是否主键 | 注释 |
1 | code_token_id | int | 是 | 是 | 验证码ID | |
2 | token | varchar | 255 | 否 | 否 | 令牌 |
3 | code | varchar | 255 | 否 | 否 | 验证码 |
4 | expire_time | timestamp | 是 | 否 | 失效时间 | |
5 | create_time | timestamp | 是 | 否 | 创建时间 | |
6 | update_time | timestamp | 是 | 否 | 更新时间 |
表 4-8-collect(收藏)
编号 | 字段名 | 类型 | 长度 | 是否非空 | 是否主键 | 注释 |
1 | collect_id | int | 是 | 是 | 收藏ID | |
2 | user_id | int | 是 | 是 | 收藏人ID | |
3 | source_table | varchar | 255 | 否 | 否 | 来源表 |
4 | source_field | varchar | 255 | 否 | 否 | 来源字段 |
5 | source_id | int | 是 | 否 | 来源ID | |
6 | title | varchar | 255 | 否 | 否 | 标题 |
7 | img | varchar | 255 | 否 | 否 | 封面 |
8 | create_time | timestamp | 是 | 否 | 创建时间 | |
9 | update_time | timestamp | 是 | 否 | 更新时间 |
表 4-9-comment(评论)
编号 | 字段名 | 类型 | 长度 | 是否非空 | 是否主键 | 注释 |
1 | comment_id | int | 是 | 是 | 评论ID | |
2 | user_id | int | 是 | 是 | 评论人ID | |
3 | reply_to_id | int | 是 | 否 | 回复评论ID | |
4 | content | longtext | 4294967295 | 否 | 否 | 内容 |
5 | nickname | varchar | 255 | 否 | 否 | 昵称 |
6 | avatar | varchar | 255 | 否 | 否 | 头像地址 |
7 | create_time | timestamp | 是 | 否 | 创建时间 | |
8 | update_time | timestamp | 是 | 否 | 更新时间 | |
9 | source_table | varchar | 255 | 否 | 否 | 来源表 |
10 | source_field | varchar | 255 | 否 | 否 | 来源字段 |
11 | source_id | int | 是 | 否 | 来源ID |
表 4-10-dependents_users(家属用户)
编号 | 字段名 | 类型 | 长度 | 是否非空 | 是否主键 | 注释 |
1 | dependents_users_id | int | 是 | 是 | 家属用户ID | |
2 | family_name | varchar | 64 | 否 | 否 | 家属姓名 |
3 | family_member_gender | varchar | 64 | 否 | 否 | 家属性别 |
4 | age_of_family_members | varchar | 64 | 否 | 否 | 家属年龄 |
5 | examine_state | varchar | 16 | 是 | 否 | 审核状态 |
6 | user_id | int | 是 | 否 | 用户ID | |
7 | create_time | datetime | 是 | 否 | 创建时间 | |
8 | update_time | timestamp | 是 | 否 | 更新时间 |
表 4-11-elderly_users(老人用户)
编号 | 字段名 | 类型 | 长度 | 是否非空 | 是否主键 | 注释 |
1 | elderly_users_id | int | 是 | 是 | 老人用户ID | |
2 | old_mans_name | varchar | 64 | 否 | 否 | 老人姓名 |
3 | gender_of_the_elderly | varchar | 64 | 否 | 否 | 老人性别 |
4 | age_of_the_elderly | varchar | 64 | 否 | 否 | 老人年龄 |
5 | dependents_users | int | 否 | 否 | 家属用户 | |
6 | emergency_contacts | varchar | 64 | 否 | 否 | 紧急联系人 |
7 | contact_phone | varchar | 64 | 否 | 否 | 联系人电话 |
8 | health_status | varchar | 64 | 否 | 否 | 健康状况 |
9 | examine_state | varchar | 16 | 是 | 否 | 审核状态 |
10 | user_id | int | 是 | 否 | 用户ID | |
11 | create_time | datetime | 是 | 否 | 创建时间 | |
12 | update_time | timestamp | 是 | 否 | 更新时间 |
表 4-12-financial_statements(财务报表)
编号 | 字段名 | 类型 | 长度 | 是否非空 | 是否主键 | 注释 |
1 | financial_statements_id | int | 是 | 是 | 财务报表ID | |
2 | record_title | varchar | 64 | 否 | 否 | 记录标题 |
3 | recording_time | date | 否 | 否 | 记录时间 | |
4 | financial_type | varchar | 64 | 否 | 否 | 财务类型 |
5 | type_of_income_and_expenditure | varchar | 64 | 否 | 否 | 收支类型 |
6 | record_amount | double | 否 | 否 | 记录金额 | |
7 | record_remarks | varchar | 64 | 否 | 否 | 记录备注 |
8 | create_time | datetime | 是 | 否 | 创建时间 | |
9 | update_time | timestamp | 是 | 否 | 更新时间 |
表 4-13-health_archives(健康档案)
编号 | 字段名 | 类型 | 长度 | 是否非空 | 是否主键 | 注释 |
1 | health_archives_id | int | 是 | 是 | 健康档案ID | |
2 | dependents_users | int | 否 | 否 | 家属用户 | |
3 | elderly_users | int | 否 | 否 | 老人用户 | |
4 | old_mans_name | varchar | 64 | 否 | 否 | 老人姓名 |
5 | gender_of_the_elderly | varchar | 64 | 否 | 否 | 老人性别 |
6 | age_of_the_elderly | varchar | 64 | 否 | 否 | 老人年龄 |
7 | entry_time | datetime | 否 | 否 | 录入时间 | |
8 | test_results | varchar | 255 | 否 | 否 | 检测结果 |
9 | medical_history_of_the_elderly | text | 65535 | 否 | 否 | 老人病史 |
10 | medication_records | text | 65535 | 否 | 否 | 用药记录 |
11 | allergy_information | text | 65535 | 否 | 否 | 过敏信息 |
12 | create_time | datetime | 是 | 否 | 创建时间 | |
13 | update_time | timestamp | 是 | 否 | 更新时间 |
表 4-14-hits(用户点击)
编号 | 字段名 | 类型 | 长度 | 是否非空 | 是否主键 | 注释 |
1 | hits_id | int | 是 | 是 | 点赞ID | |
2 | user_id | int | 是 | 否 | 点赞人 | |
3 | create_time | timestamp | 是 | 否 | 创建时间 | |
4 | update_time | timestamp | 是 | 否 | 更新时间 | |
5 | source_table | varchar | 255 | 否 | 否 | 来源表 |
6 | source_field | varchar | 255 | 否 | 否 | 来源字段 |
7 | source_id | int | 是 | 否 | 来源ID |
表 4-15-life_record(生活记录)
编号 | 字段名 | 类型 | 长度 | 是否非空 | 是否主键 | 注释 |
1 | life_record_id | int | 是 | 是 | 生活记录ID | |
2 | dependents_users | int | 否 | 否 | 家属用户 | |
3 | elderly_users | int | 否 | 否 | 老人用户 | |
4 | old_mans_name | varchar | 64 | 否 | 否 | 老人姓名 |
5 | gender_of_the_elderly | varchar | 64 | 否 | 否 | 老人性别 |
6 | age_of_the_elderly | varchar | 64 | 否 | 否 | 老人年龄 |
7 | living_habits | text | 65535 | 否 | 否 | 生活习惯 |
8 | personal_interest | text | 65535 | 否 | 否 | 个人兴趣 |
9 | create_time | datetime | 是 | 否 | 创建时间 | |
10 | update_time | timestamp | 是 | 否 | 更新时间 |
表 4-16-notice(公告)
编号 | 字段名 | 类型 | 长度 | 是否非空 | 是否主键 | 注释 |
1 | notice_id | mediumint | 是 | 是 | 公告ID | |
2 | title | varchar | 125 | 是 | 否 | 标题 |
3 | content | longtext | 4294967295 | 否 | 否 | 正文 |
4 | create_time | timestamp | 是 | 否 | 创建时间 | |
5 | update_time | timestamp | 是 | 否 | 更新时间 |
表 4-17-nursing_staff(护理人员)
编号 | 字段名 | 类型 | 长度 | 是否非空 | 是否主键 | 注释 |
1 | nursing_staff_id | int | 是 | 是 | 护理人员ID | |
2 | personnel_name | varchar | 64 | 否 | 否 | 人员姓名 |
3 | gender_of_personnel | varchar | 64 | 否 | 否 | 人员性别 |
4 | personnel_telephone | varchar | 64 | 否 | 否 | 人员电话 |
5 | examine_state | varchar | 16 | 是 | 否 | 审核状态 |
6 | user_id | int | 是 | 否 | 用户ID | |
7 | create_time | datetime | 是 | 否 | 创建时间 | |
8 | update_time | timestamp | 是 | 否 | 更新时间 |
表 4-18-operation_log(操作日志表)
编号 | 字段名 | 类型 | 长度 | 是否非空 | 是否主键 | 注释 |
1 | operation_log_id | int | 是 | 是 | 操作日志ID | |
2 | user_group | varchar | 64 | 否 | 否 | 用户角色 |
3 | user_name | varchar | 64 | 否 | 否 | 用户账号 |
4 | routes | varchar | 64 | 否 | 否 | 模块名称 |
5 | create_time | datetime | 是 | 否 | 创建时间 | |
6 | update_time | timestamp | 是 | 否 | 更新时间 |
表 4-19-pension_service(养老服务)
编号 | 字段名 | 类型 | 长度 | 是否非空 | 是否主键 | 注释 |
1 | pension_service_id | int | 是 | 是 | 养老服务ID | |
2 | service_name | varchar | 64 | 否 | 否 | 服务名称 |
3 | service_item | varchar | 64 | 否 | 否 | 服务项目 |
4 | service_price | double | 否 | 否 | 服务价格 | |
5 | service_time | varchar | 64 | 否 | 否 | 服务时间 |
6 | service_instructions | varchar | 64 | 否 | 否 | 服务须知 |
7 | cover_image | varchar | 255 | 否 | 否 | 封面图片 |
8 | service_content | longtext | 4294967295 | 否 | 否 | 服务内容 |
9 | collect_len | int | 是 | 否 | 收藏数 | |
10 | service_reservation_limit_times | int | 是 | 否 | 预约限制次数 | |
11 | create_time | datetime | 是 | 否 | 创建时间 | |
12 | update_time | timestamp | 是 | 否 | 更新时间 |
表 4-20-praise(点赞)
编号 | 字段名 | 类型 | 长度 | 是否非空 | 是否主键 | 注释 |
1 | praise_id | int | 是 | 是 | 点赞ID | |
2 | user_id | int | 是 | 是 | 点赞人 | |
3 | create_time | timestamp | 是 | 否 | 创建时间 | |
4 | update_time | timestamp | 是 | 否 | 更新时间 | |
5 | source_table | varchar | 255 | 否 | 否 | 来源表 |
6 | source_field | varchar | 255 | 否 | 否 | 来源字段 |
7 | source_id | int | 是 | 否 | 来源ID | |
8 | status | tinyint | 是 | 否 | 点赞状态:1为点赞,0已取消 |
表 4-21-scheduling_information(排班信息)
编号 | 字段名 | 类型 | 长度 | 是否非空 | 是否主键 | 注释 |
1 | scheduling_information_id | int | 是 | 是 | 排班信息ID | |
2 | nursing_staff | int | 否 | 否 | 护理人员 | |
3 | name_of_personnel | varchar | 64 | 否 | 否 | 人员姓名 |
4 | shift_scheduling_time | date | 否 | 否 | 排班时间 | |
5 | shift_scheduling_remarks | varchar | 64 | 否 | 否 | 排班备注 |
6 | shift_scheduling_picture | varchar | 255 | 否 | 否 | 排班图片 |
7 | create_time | datetime | 是 | 否 | 创建时间 | |
8 | update_time | timestamp | 是 | 否 | 更新时间 |
表 4-22-service_evaluation(服务评价)
编号 | 字段名 | 类型 | 长度 | 是否非空 | 是否主键 | 注释 |
1 | service_evaluation_id | int | 是 | 是 | 服务评价ID | |
2 | service_name | varchar | 64 | 否 | 否 | 服务名称 |
3 | service_item | varchar | 64 | 否 | 否 | 服务项目 |
4 | service_price | double | 否 | 否 | 服务价格 | |
5 | service_time | varchar | 64 | 否 | 否 | 服务时间 |
6 | service_instructions | varchar | 64 | 否 | 否 | 服务须知 |
7 | dependents_users | int | 否 | 否 | 家属用户 | |
8 | elderly_users | int | 否 | 否 | 老人用户 | |
9 | old_mans_name | varchar | 64 | 否 | 否 | 老人姓名 |
10 | appointment_time | datetime | 否 | 否 | 预约时间 | |
11 | appointment_location | varchar | 64 | 否 | 否 | 预约地点 |
12 | nursing_staff | int | 否 | 否 | 护理人员 | |
13 | service_comments | text | 65535 | 否 | 否 | 服务评论 |
14 | create_time | datetime | 是 | 否 | 创建时间 | |
15 | update_time | timestamp | 是 | 否 | 更新时间 | |
16 | source_table | varchar | 255 | 否 | 否 | 来源表 |
17 | source_id | int | 否 | 否 | 来源ID | |
18 | source_user_id | int | 否 | 否 | 来源用户 |
表 4-23-service_reservation(服务预约)
编号 | 字段名 | 类型 | 长度 | 是否非空 | 是否主键 | 注释 |
1 | service_reservation_id | int | 是 | 是 | 服务预约ID | |
2 | service_name | varchar | 64 | 否 | 否 | 服务名称 |
3 | service_item | varchar | 64 | 否 | 否 | 服务项目 |
4 | service_price | double | 否 | 否 | 服务价格 | |
5 | service_time | varchar | 64 | 否 | 否 | 服务时间 |
6 | service_instructions | varchar | 64 | 否 | 否 | 服务须知 |
7 | dependents_users | int | 否 | 否 | 家属用户 | |
8 | elderly_users | int | 否 | 否 | 老人用户 | |
9 | old_mans_name | varchar | 64 | 否 | 否 | 老人姓名 |
10 | appointment_time | datetime | 否 | 否 | 预约时间 | |
11 | appointment_location | varchar | 64 | 否 | 否 | 预约地点 |
12 | nursing_staff | int | 否 | 否 | 护理人员 | |
13 | appointment_remarks | varchar | 64 | 否 | 否 | 预约备注 |
14 | pay_state | varchar | 16 | 是 | 否 | 支付状态 |
15 | pay_type | varchar | 16 | 否 | 否 | 支付类型: 微信、支付宝、网银 |
16 | service_evaluation_limit_times | int | 是 | 否 | 评论限制次数 | |
17 | create_time | datetime | 是 | 否 | 创建时间 | |
18 | update_time | timestamp | 是 | 否 | 更新时间 | |
19 | source_table | varchar | 255 | 否 | 否 | 来源表 |
20 | source_id | int | 否 | 否 | 来源ID | |
21 | source_user_id | int | 否 | 否 | 来源用户 |
表 4-24-slides(轮播图)
编号 | 字段名 | 类型 | 长度 | 是否非空 | 是否主键 | 注释 |
1 | slides_id | int | 是 | 是 | 轮播图ID | |
2 | title | varchar | 64 | 否 | 否 | 标题 |
3 | content | varchar | 255 | 否 | 否 | 内容 |
4 | url | varchar | 255 | 否 | 否 | 链接 |
5 | img | varchar | 255 | 否 | 否 | 轮播图 |
6 | hits | int | 是 | 否 | 点击量 | |
7 | create_time | timestamp | 是 | 否 | 创建时间 | |
8 | update_time | timestamp | 是 | 否 | 更新时间 |
表 4-25-upload(文件上传)
编号 | 字段名 | 类型 | 长度 | 是否非空 | 是否主键 | 注释 |
1 | upload_id | int | 是 | 是 | 上传ID | |
2 | name | varchar | 64 | 否 | 否 | 文件名 |
3 | path | varchar | 255 | 否 | 否 | 访问路径 |
4 | file | varchar | 255 | 否 | 否 | 文件路径 |
5 | display | varchar | 255 | 否 | 否 | 显示顺序 |
6 | father_id | int | 否 | 否 | 父级ID | |
7 | dir | varchar | 255 | 否 | 否 | 文件夹 |
8 | type | varchar | 32 | 否 | 否 | 文件类型 |
表 4-26-user(用户账户)
编号 | 字段名 | 类型 | 长度 | 是否非空 | 是否主键 | 注释 |
1 | user_id | int | 是 | 是 | 用户ID | |
2 | state | smallint | 是 | 否 | 账户状态:(1可用|2异常|3已冻结|4已注销) | |
3 | user_group | varchar | 32 | 否 | 否 | 所在用户组 |
4 | login_time | timestamp | 是 | 否 | 上次登录时间 | |
5 | phone | varchar | 11 | 否 | 否 | 手机号码 |
6 | phone_state | smallint | 是 | 否 | 手机认证:(0未认证|1审核中|2已认证) | |
7 | username | varchar | 16 | 是 | 否 | 用户名 |
8 | nickname | varchar | 16 | 否 | 否 | 昵称 |
9 | password | varchar | 64 | 是 | 否 | 密码 |
10 | varchar | 64 | 否 | 否 | 邮箱 | |
11 | email_state | smallint | 是 | 否 | 邮箱认证:(0未认证|1审核中|2已认证) | |
12 | avatar | varchar | 255 | 否 | 否 | 头像地址 |
13 | open_id | varchar | 255 | 否 | 否 | 针对获取用户信息字段 |
14 | create_time | timestamp | 是 | 否 | 创建时间 |
表 4-27-user_group(用户组)
编号 | 字段名 | 类型 | 长度 | 是否非空 | 是否主键 | 注释 |
1 | group_id | mediumint | 是 | 是 | 用户组ID | |
2 | display | smallint | 是 | 否 | 显示顺序 | |
3 | name | varchar | 16 | 是 | 否 | 名称 |
4 | description | varchar | 255 | 否 | 否 | 描述 |
5 | source_table | varchar | 255 | 否 | 否 | 来源表 |
6 | source_field | varchar | 255 | 否 | 否 | 来源字段 |
7 | source_id | int | 是 | 否 | 来源ID | |
8 | register | smallint | 否 | 否 | 注册位置 | |
9 | create_time | timestamp | 是 | 否 | 创建时间 | |
10 | update_time | timestamp | 是 | 否 | 更新时间 |
5系统实现
5.1老人和家属用户功能实现
5.1.1首页
通过系统的主界面,展示平台的核心内容,包括公告信息、新闻资讯等。用户行依据首页快速访问各个功能模块,还能够根据关键词搜索相关内容,如图5-1所示。就是首页

图5-1架构首页界面图
5.1.2新闻资讯
通过点击系统导航栏上的“新闻资讯”菜单按钮,将进入新闻资讯列表,用户可以查看系统发布的所有新闻资讯信息。点击新闻资讯后进入详情页,可以查看该新闻资讯信息的完整内容,用户能够进行点赞、收藏、评论等操作。新闻资讯列表页面如图5-2所示。

图5-2新闻资讯列表界面图
5.1.3养老服务
点击系统导航栏上的“养老服务”菜单按钮,将进入养老服务列表,老人用户和家属用户可以浏览所有的养老服务,帮助关键词搜索。点击某养老服务后,进入该养老服务详情页面,可以查看该服务的详细信息,可以进行点赞、收藏、评论、预约等运行。养老服务列表如图5-3所示。养老服务详情页如图5-4所示。服务预约页如图5-5所示。

图5-3养老服务列表界面图

图5-4养老服务详情界面图

图5-5服务预约界面图
5.1.4一键报警
点击系统导航栏上的“一键报警”菜单按钮,紧急情况下,老人可通过一键报警功能录入报警信息寻求帮助,系统会及时处理。一键报警页面如图5-6所示。

图5-6一键报警界面图
5.1.5健康档案
老人用户点击个人中心“健康档案”按钮,老人行输入或更新个人的健康信息,如疾病史、过敏史、用药记录等。家属用户可以查看老人的健康档案。健康档案录入界面如下图5-7所示。

图5-7健康档案录入界面
5.1.6生活记录
老人用户点击个人中心“生活记录”按钮,老人可能记录日常生活的情况,如饮食、作息、锻炼等。家属用户允许查看老人的生活记录。生活记录界面如下图5-8所示。

图5-8生活记录界面
5.1.7服务预约
老人用户点击个人中心“服务预约”按钮,许可查看预约状态并进行支付。家属用户行查看老人的服务预约记录。服务预约界面如下图5-9所示。

图5-9服务预约界面
5.1.8服务评价
通过老人用户点击个人中心“服务评价”按钮,老人能够对已享受的服务进行评价,供应反馈。服务评价界面如下图5-10所示。

图5-10服务评价界面
5.2管理员功能达成
5.2.1环境用户管理
基于SpringBoot的养老服务管理系统中的管理人员是可以对老人用户、家属用户、护理人员信息进行管理的,包括对用户信息进行增删改查等操作,也可以对管理员进行管控。界面如下图5-11所示。

图5-11用户管理界面图
5.2.2养老服务管理
管理员点击“养老服务管理”这一菜单会显示养老服务列表和养老服务添加两个子菜单,点击“养老服务列表”可以查看所有的养老服务信息和用户评论,可以进行查询、重置、删除等操作。点击“养老服务添加”,管理员可以添加新的养老服务。养老服务列表界面如下图5-12所示。

图5-12养老服务列表界面图
5.2.3 系统管理
管理员点击“系统管理-轮播图管理”菜单,可以对前台展示的轮播图进行设置,界面如下图5-13所示。

图5-13轮播图管理界面图
5.2.4公告信息管理
管理员点击“公告信息管理”这个菜单,可以对系统中的公告信息进行管理,包括公告信息的增删改查等操控。公告信息管理界面如下图所示。

图5-14公告信息管理界面图
5.2.5资源管理
通过管理员点击“资源管理”菜单,管理员可以上传、编辑或删除架构的资源,如文章、图片、视频等。这些资源可用于新闻资讯模块的展示。管理员还能够对知识进行分类和标签化,方便用户查找和利用,界面如下图所示。

图5-15资源管理界面图
5.2.6排班信息管理
管理员点击“排班信息管理”这一菜单会显示排班信息列表和排班信息添加两个子菜单,点击“排班信息列表”可以查看所有的排班信息,可以进行查询、重置、删除等操作。点击“排班信息添加”,管理员可以添加新的排班信息。排班信息添加界面如下图5-16所示。

图5-16排班信息添加界面图
5.2.7考勤记录管理
管理员点击“考勤记录管理”这一菜单会展示考勤记录列表和考勤记录添加两个子菜单,点击“考勤记录列表”可以查看所有的考勤记录,可以进行查询、重置、删除等操作。点击“考勤记录添加”,管理员可以添加新的考勤记录。考勤记录添加界面如下图5-17所示。

图5-17考勤记录添加界面图
5.3护理人员功能实现
5.3.1服务预约管理
护理人员点击“ 服务预约管理”这一菜单会显示服务预约列表,可以查看自己的预约项目信息,可以进行查询、重置等操作。 服务预约列表界面如下图5-18所示。

图5-18服务预约列表界面图
5.3.2 服务评价管理
护理人员点击“服务评价管理”这一菜单会显示服务评价列表,可以查看老人用户提交的关于自己提供的服务的评价,允许进行查询、重置等操作。服务评价列表界面如下图5-19所示。

图5-19服务评价列表界面图
5.3.3 排班信息管理
通过护理人员点击“排班信息管理”菜单,可以查看自己的排班信息,还能够进行查询、重置等运行。排班信息列表界面如下图5-20所示。

图5-20排班信息列表界面图
6系统测试
6.1测试目的
测试的主要目的是确保体系的功能和性能满足预期的需求,同时识别和修复潜在的缺陷。通过系统测试,允许验证各个功能模块的正确性和稳定性,确保系统在不同启用场景下的表现符合设计要求。测试目的包括确认系统功能的完整性、验证数据处理的准确性、评估平台的性能和安全性。测试还可以提高用户满意度,保证用户在使用系统时获得流畅和可靠的体验。通过全面的测试,许可降低后期维护成本,减少系统上线后出现故障的风险,从而保障系统的长期稳定运行。
6.2测试方法
在本系统中,测试方法重要依赖于测试用例的设计与执行。测试用例是根据框架需求文档编写的,覆盖所有功能模块及其边界情况。每个测试用例涵盖输入材料、预期结果和实际结果的对比,以验证系统的能力是否按预期工作。
常见的测试用例包括机制测试用例、边界测试用例和异常测试用例[13]。功能测试用例针对平台的各项功能进行验证;边界测试用例则侧重于输入数据的边界条件,验证系统在极端情况下是否能够稳定运行;异常测试用例则用于验证环境在处理错误输入或异常情况时的反应。本文选择功能测试用例进行体系测试。
在测试执行过程中,记录每个用例的执行结果,并根据实际结果与预期结果的对比,判断系统是否存在缺陷。通过系统化的测试用例执行,可以奏效提高测试的覆盖率和效率,为体系的最终上线提供保障。
6.3测试内容
通过对系统中所含的主要实体对象及其功能操作进行测试用例设计。以下是详细的测试:
表6-1用户注册登录测试表
用户注册登录测试用例:
用例说明 | 测试目的 | 测试步骤 | 预期结果 | 输出结果 | 通过情况 |
用户注册、登录 | 测试用户正确注册、登录 |
| 用户注册成功,登录成功 | 结果输出符合预期 | 通过 |
表6-2服务预约测试表
服务预约用例:
用例说明 | 测试目的 | 测试步骤 | 预期结果 | 输出结果 | 通过情况 |
服务预约 | 测试老人用户服务预约能力 |
| 老人用户提交服务预约信息成功,显示服务预约信列表 | 结果输出符合预期 | 通过 |
表6-3评论测试表
评论测试用例:
用例说明 | 测试目的 | 测试步骤 | 预期结果 | 输出结果 | 通过情况 |
评论 | 测试用户评论功能 | 1、在首页点击新闻资讯并看详情; 2、点击评论,输入相关信息点击提交 | 生成新的评论信息 | 结果输出符合预期 | 通过 |
表6-4养老服务添加测试表
管理员养老服务添加测试用例:
用例说明 | 测试目的 | 测试步骤 | 预期结果 | 输出结果 | 通过情况 |
养老服务添加测试 | 测试管理员添加养老服务功能 |
| 养老服务添加成功 | 结果输出符合预期 | 通过 |
表6-5公告信息删除测试表
公告信息删除测试用例:
用例说明 | 测试目的 | 测试步骤 | 预期结果 | 输出结果 | 通过情况 |
公告信息删除测试 | 测试公告信息删除功能 |
| 公告信息删除成功,前端不在展示该公告信息 | 结果输出符合预期 | 通过 |
6.4测试结论
经过上述测试,并对测试数据结果综合分析。养老服务管理系统具备简便,资料透明等特性。完全符合养老服务管理系统的要求。
本论文设计并实现了一款基于Spring Boot、Java和MySQL的养老服务管理系统,通过框架的开发与机制实现,提出了一种高效、智能的养老服务管理方案。随着老龄化社会的加剧,养老服务需求日益增长,如何有用提升服务质量、管理效率,并保障老人的安全与健康,成为当前亟待解决的问题。通过本架构的设计与实现,成功地将信息化技术引入到养老服务领域,为解决这些困难提供了创新的解决方案。
借助采用Spring Boot框架与MySQL数据库,本平台实现了高效的数据存储与管理,确保了数据的安全性和稳定性。系统采用RESTful架构进行前后端分离,具有良好的可扩展性,能够满足未来功能扩展与工艺更新的需求。
从实际应用角度来看,本系统的实现不仅提升了养老服务的智能化管理水平,优化了老年人的生活质量,同时为养老机构提供了一个便捷、高效的运营管理工具。凭借高效的数据分析与服务评价模块,管理员能够实时掌握服务质量与老人的需求变化,及时调整服务策略,避免资源浪费和服务短缺问题。
然而,系统在实际推广过程中仍存在一些改进空间。未来的工作行进一步优化用户体验,完善服务推荐算法,增加更加细致的健康监测和远程医疗功能,拓展系统的适用场景。同时,考虑到不同地区和养老机构的需求差异,环境的可定制性和灵活性也将是未来发展的一个重要方向。
总之,本论文的养老服务管理系统为养老服务领域的信息化建设供应了一种有效的解决方案,具有较高的应用价值和推广前景,为改善老年人生活质量、提升养老服务效率提供了坚实的技术支持。
- 冯志林.Java EE程序设计与开发实践教程[M].机械工业出版社:202105.353.
- 尹应荆.JAVA编程语言在计算机软件制作中的应用[J].石河子科技,2023,(05):45-47.
- 刘江涛,王亮亮,吴庆茹,等.基于B/S模式的铁路勘测设计案例信息化管理系统设计与构建[J].铁路计算机应用,2021,30(03):32-35.
- 张丹丹,李弘.基于B/S架构的办公管理系统设计与开发[J].铁路通信信号工程技术,2024,21(09):44-48+106.
- 王志亮,纪松波.基于SpringBoot的Web前端与数据库的接口设计[J].工业控制计算机,2023,36(03):51-53.
- 熊永平.基于SpringBoot框架应用开发技术的分析与研究[J].电脑知识与工艺,2021,15(36):76-77.
- 赵媛.基于Vue的Web体系前端性能优化分析[J].电脑编程技巧与维护,2024,(09):44-46.
- 秦冬.浅析Vue框架在前端开发中的应用[J].信息与电脑(理论版),2024,36(13):61-63.
- 李艳杰.MySQL数据库下存储过程的综合运用研究[J].现代信息科技,2023,7(11):80-82+88.
- 陈倩怡,何军.Vue+Springboot+MyBatis技术应用解析[J].电脑编程技巧与维护,2020,(01):14-15+28.
- 周晓玉,崔文超.基于Web技术的数据库应用系统设计[J].信息与电脑(理论版),2023,35(09):189-191.
- 马艳艳,吴晓光.计算机软件与数据库的设计策略分析[J].电子手艺,2024,53(05):104-105.
- 李俊萌.计算机软件测试技术与开发应用策略分析[J].信息记录材料,2023,24(03):50-52.
- Liu J ,Li S .Design of Embedded Intelligent Pension System Based on Internet+[J].The Frontiers of Society, Science and Technology,2023,5(18):
- 林正敏,王淑娥,于小亿,等.基于Django的智慧养老系统设计[J].电脑知识与技术,2023,19(02):25-28.DOI:10.14004/j.cnki.ckt.2023.0099.
- 童峰.多系统互动智慧养老服务体系的构建与应用对策[J].南通大学学报(社会科学版),2021,37(02):89-96.
- 刘和山,董雪,范志君,等.智慧居家养老服务管理系统设计研究[J].包装工程,2020,41(08):36-42.DOI:10.19554/j.cnki.1001-3563.2020.08.006.
- 徐艳艳,孙利,李华.居家养老服务管理信息系统数据库的设计[J].滁州职业技能学院学报,2019,18(04):36-39+43.
- Wang X ,Liang D ,Song W , et al.Distributed Intelligent Pension System Based on BP Neural Network[J].Wireless Personal Communications,2018,102(4):3603-3614.
- Nghia T L ,Anh H Q,Binh P, et al.Design of Smart Pension System Based on Wearable Computing Technology[J].Indian Journal of Public Health Research & Development,2019,1(1):
在撰写这篇基于SpringBoot的养老服务管理系统的毕业论文之际,我满怀感激之情,回顾整个设计过程,从最初的构想到最终的成果,每一步都凝聚了众多人的支持与帮助。
在此,我要特别感谢我的导师。是您的悉心指导与无私奉献,让我在迷茫时找到了方向,在困难前鼓起了勇气。您的严谨治学态度和深厚学术造诣,不仅让我在学术上受益匪浅,更在人生道路上树立了榜样。
我也要感谢我的同学们。我们一起熬夜讨论,一起应对难题,你们的陪伴与帮忙,让我的大学生活更加丰富多彩。在团队合作中,我学会了沟通与协作,也更加珍惜这份难得的友谊。
我还要感谢我的家人。是你们的理解与支持,让我能够全身心地投入到学业中。在我遇到挫折时,是你们给予我温暖与鼓励,让我有勇气面对一切挑战。
展望未来,我将带着这份感激与收获,继续前行。我深知,技术的道路永无止境,我将不断学习新知识,掌握新技能,为未来的工作与研究打下坚实的基础。同时,我也希望能将所学应用到更广阔的领域,为社会的发展贡献自己的一份力量。
免费领取方案源码,请关注❥点赞收藏并私信博主+v,谢谢~
浙公网安备 33010602011771号