宝宝精刷题笔记 leetcode 1976.到达目的地的方案数
问题描述:
你在一个城市里,城市由 n 个路口组成,路口编号为 0 到 n - 1 ,某些路口之间有 双向 道路。输入保证你可以从任意路口出发到达其他任意路口,且任意两个路口之间最多有一条路。
给你一个整数 n 和二维整数数组 roads ,其中 roads[i] = [ui, vi, timei] 表示在路口 ui 和 vi 之间有一条需要花费 timei 时间才能通过的道路。你想知道花费 最少时间 从路口 0 出发到达路口 n - 1 的方案数。
请返回花费 最少时间 到达目的地的 路径数目 。由于答案可能很大,将结果对 109 + 7 取余 后返回。
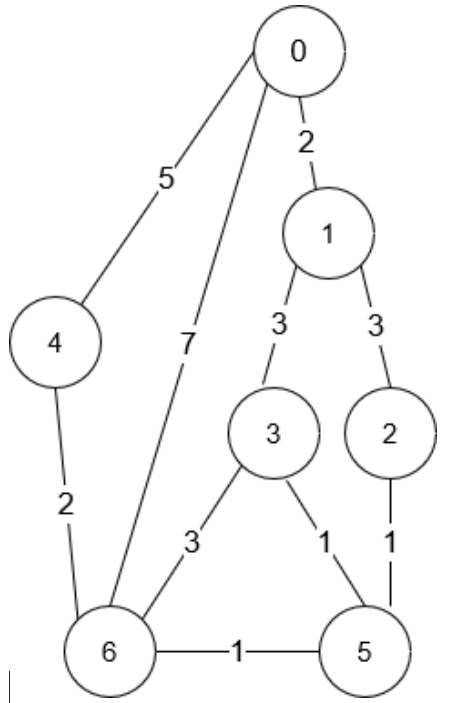
示例1:
输入:n = 7, roads = [[0,6,7],[0,1,2],[1,2,3],[1,3,3],[6,3,3],[3,5,1],[6,5,1],[2,5,1],[0,4,5],[4,6,2]]
输出:4
如图所示:
从图中可以看出:从路口 0 出发到路口 6 花费的最少时间是 7 分钟。
四条花费 7 分钟的路径分别为:
1:0 ➝ 6
2:0 ➝ 4 ➝ 6
3:0 ➝ 1 ➝ 2 ➝ 5 ➝ 6
4:0 ➝ 1 ➝ 3 ➝ 5 ➝ 6
解题思路:
def countPaths(n, roads):
mod = 10 ** 9 + 7
###使用SPFA算法求得起始点0到所有点的最短路径
if len(roads) == 0:
return 1
que = [0] ##队列
dis = [900000000000] * n ##保存每个点到起始点的最短路径
dis[0] = 0
while len(que):
head = que[0]
for i in roads:
if head == i[0] or head == i[1]:
if head == i[0]:
a = i[1]
else:
a = i[0]
tem = dis[head] + i[2]
if tem < dis[a]:
dis[a] = tem
que.append(a)
que.pop(0)
print(dis)
###以字典的形式保存键对应的节点可以到达的下一跳节点,构建有向图
###如果0->a的距离Xa大于0->b的距离Xb,且Xa-Xb==b->a的距离
# 则证明b->a的路径一定在最短路径中,因此把a加入到b对应的值中
pointdict = {0: []}
for i in roads:
if dis[i[0]] - dis[i[1]] == i[2] :
if pointdict.setdefault(i[1], []) is not []:
pointdict[i[1]].append(i[0])
elif dis[i[1]] - dis[i[0]] == i[2]:
if pointdict.setdefault(i[0], []) is not []:
pointdict[i[0]].append(i[1])
print(pointdict)
###以递归的形式获得总的路线方案
@cache ##@cache 装饰器是 Python 3.9 版中的新功能,通过查找缓存值结果来减小递归的次数,提高效率
def get_num(target):
if target == n - 1:
return 1
result = 0
if pointdict.get(target, None) is not None:
for v in pointdict[target]:
result += get_num(v)
return result % mod
else:
return 0
get_num.cache_clear()
return get_num(0)

浙公网安备 33010602011771号