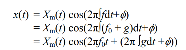
在IEEE C37.118标准中,定义相量的相角数据为相对于基准频率下余弦函数的初始相角。注意:相量的相角不是正弦信号中相角,只是正弦信号的初相角。
1)通过公式理解相角定义。

相角就是频率相对于基准频率下的变化值在时间上的积分乘以2π+初始相角。t=0时相角就是初始相角,t=T时,相角就是频率相对于基准频率下的变化值在T时间内的积分+初始相角。
2)图形理解

所以可以通过观测f1频率的相角,即为同步相量的相角,如下图所示为f1的余弦曲线,T0观测到的相角即为同步相量的相角。

本文来自博客园,作者:Clay,转载请注明原文链接:https://www.cnblogs.com/clayyjh/p/17950510
浙公网安备 33010602011771号