会员
众包
新闻
博问
闪存
赞助商
HarmonyOS
Chat2DB
所有博客
当前博客
我的博客
我的园子
账号设置
会员中心
简洁模式
...
退出登录
注册
登录
代码改变世界
Cnblogs
Dashboard
Login
Home
Contact
Gallery
Subscribe
RSS
斑鸠,一生。
高频变压器等效模型
2025-04-30 10:31
斑鸠,一生。
阅读(
829
) 评论(
0
)
收藏
举报
一、基本等效模型
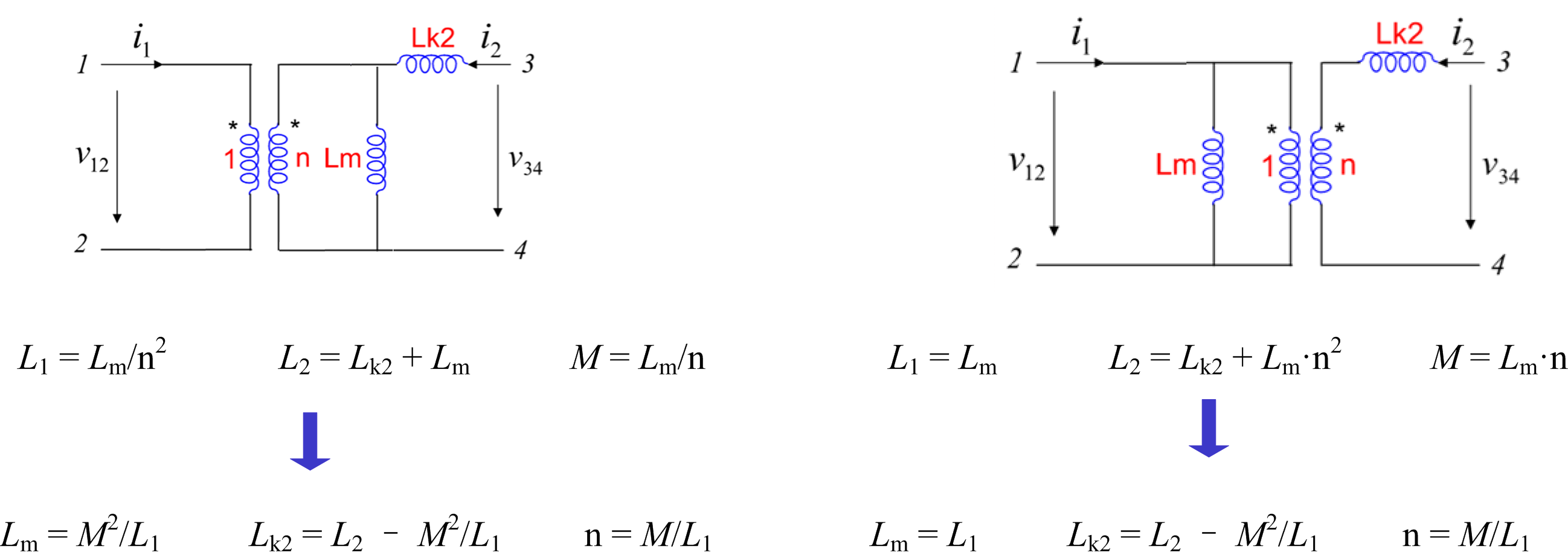
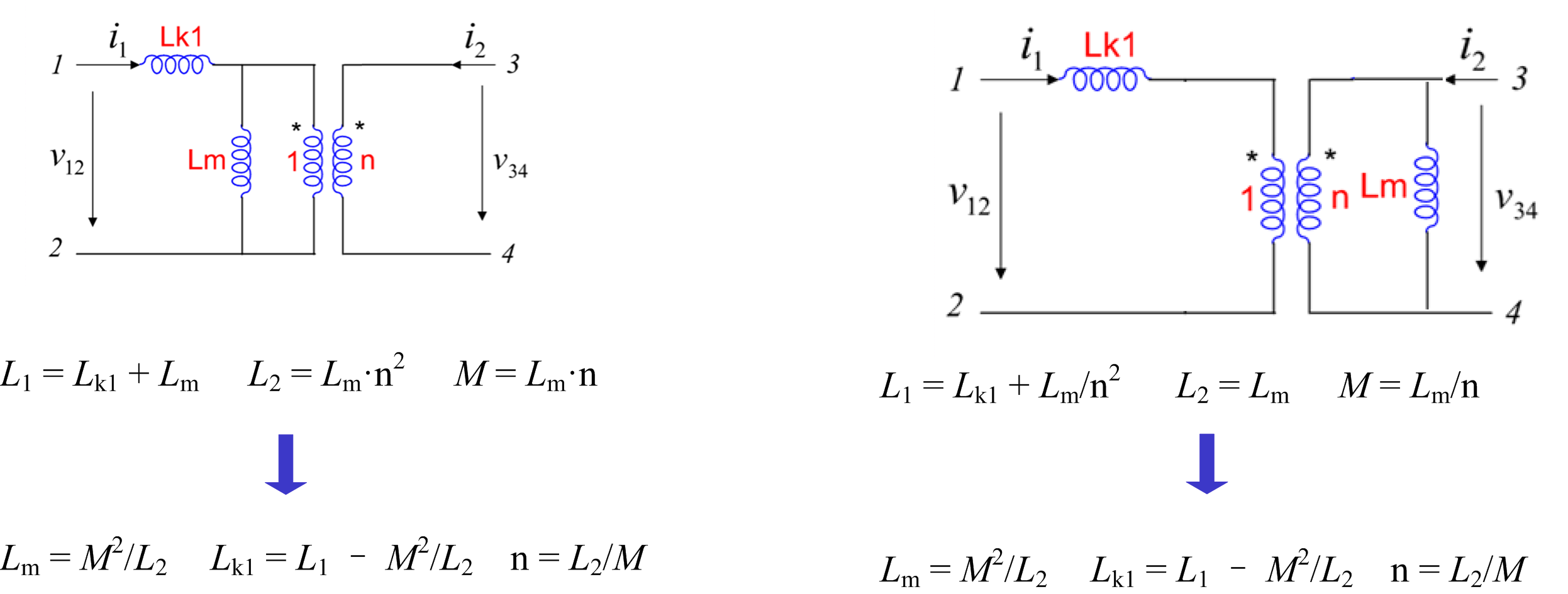
二、简化等效模型(漏感等效在左侧)
三、简化等效模型(漏感等效在右侧)
四、验证
Np = 23,Ns = 3 .物理匝数比为 0.1304.
五、结论
1、漏感等效在左侧和右侧的等效匝比不一样
2、两种方式等效匝比都大于实际匝比
刷新页面
返回顶部
About