fibnacci数列递归实现
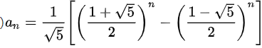
斐波那契数列(Fibonacci sequence),又称黄金分割数列,因数学家莱昂纳多·斐波那契(Leonardo Fibonacci)以兔子繁殖为例子而引入,故又称为“兔子数列”,指的是这样一个数列:1、1、2、3、5、8、13、21、34、……在数学上,斐波那契数列以如下被以递推的方法定义:F(0)=0,F(1)=1, F(n)=F(n - 1)+F(n - 2)(n ≥ 2,n ∈ N*)在现代物理、准晶体结构、化学等领域,斐波那契数列都有直接的应用,为此,美国数学会从 1963 年起出版了以《斐波那契数列季刊》为名的一份数学杂志,用于专门刊载这方面的研究成果。



经本人测试超过50就开始慢了,超过一百可以先看一集电视剧,1000可以看一部电影喝杯下午茶再看看了
 
                    
                     
                    
                 
                    
                
 
                
            
         
         浙公网安备 33010602011771号
浙公网安备 33010602011771号