力扣257 二叉树的所有路径
题目:
给你一个二叉树的根节点 root ,按 任意顺序 ,返回所有从根节点到叶子节点的路径。
叶子节点 是指没有子节点的节点。
示例:

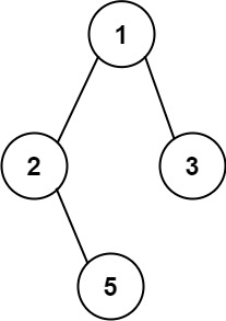
输入:root = [1,2,3,null,5]
输出:["1->2->5","1->3"]
思路:
(1)选择前序遍历,由父节点指向左右孩子。
(2)1->2->5,需要记录单条路径。
(3)需要一个最终结果集res。
(4)最主要的思想应该是回溯,到叶子节点后,需要回溯至下一条路径前。

/**
* Definition for a binary tree node.
* public class TreeNode {
* int val;
* TreeNode left;
* TreeNode right;
* TreeNode() {}
* TreeNode(int val) { this.val = val; }
* TreeNode(int val, TreeNode left, TreeNode right) {
* this.val = val;
* this.left = left;
* this.right = right;
* }
* }
*/
class Solution {
public List<String> binaryTreePaths(TreeNode root) {
List<String> res=new ArrayList<>();//结果集
List<Integer> path=new ArrayList<>();//单条路径
if(root==null){
return res;
}
travelsal(root,path,res);
return res;
}
public void travelsal(TreeNode root,List<Integer> path,List<String> res){
path.add(root.val);//根:添加值 //1 //2 //5
if(root.left==null&&root.right==null){//5
//改造输出
StringBuilder sb=new StringBuilder();
for (int i=0;i<path.size()-1;i++) {
sb.append(path.get(i)).append("->");
}
sb.append(path.get(path.size()-1));
res.add(sb.toString());//将单条路径添加至结果集 //125
}
if(root.left!=null){//左:递归 //2
travelsal(root.left,path,res);//5后
path.remove(path.size()-1);//回溯:弹出2
}
if(root.right!=null){//右:递归 //5 //3
travelsal(root.right,path,res);//5终止后
path.remove(path.size()-1);//回溯:弹出5
}
}
}

浙公网安备 33010602011771号