力扣110 平衡二叉树
题目:
给定一个二叉树,判断它是否是高度平衡的二叉树。
本题中,一棵高度平衡二叉树定义为:
一个二叉树每个节点 的左右两个子树的高度差的绝对值不超过 1 。
示例:

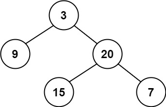
输入:root = [3,9,20,null,null,15,7]
输出:true

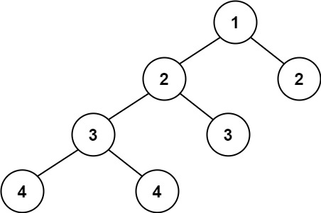
输入:root = [1,2,2,3,3,null,null,4,4]
输出:false
思路:
递归:判断一个二叉树每个节点 的左右两个子树的高度差的绝对值不超过 1 。
所以单层逻辑:需要求子树的高度差,即需求子树的高度。
一个二叉树左右子树高度差绝对值均不超过1时,才是平衡二叉树,所以当有超过1的情况出现时,可以立即返回false,不超过1,就返回子树的最大高度,确定getHeight函数用来求子树最大高度。
/**
 * Definition for a binary tree node.
 * public class TreeNode {
 *     int val;
 *     TreeNode left;
 *     TreeNode right;
 *     TreeNode() {}
 *     TreeNode(int val) { this.val = val; }
 *     TreeNode(int val, TreeNode left, TreeNode right) {
 *         this.val = val;
 *         this.left = left;
 *         this.right = right;
 *     }
 * }
 */
class Solution {
    public boolean isBalanced(TreeNode root) {
        return getHeight(root)!=-1;//高度差如果有超过1的就已经不是平衡树了
    }
    private int getHeight(TreeNode root) {//1.确定返回值和参数
        if(root==null){//2.终止条件
            return 0;
        }
        //3.单层逻辑
        int leftHeight = getHeight(root.left);//左子树高度
        if(leftHeight==-1){//出现了高度差超过1的情况
            return -1;
        }
        int rightHeight = getHeight(root.right);//右子树高度
        if(rightHeight==-1){//出现了高度差超过1的情况
            return -1;
        }
        if(Math.abs(leftHeight-rightHeight)>1){//如果高度差超过1,返回-1
            return -1;
        }else{//如果高度差不超过1,返回以当前节点为根的树的最大高度
            return Math.max(leftHeight, rightHeight) + 1;
        }
    }
}
 
                    
                     
                    
                 
                    
                
 
                
            
         
         浙公网安备 33010602011771号
浙公网安备 33010602011771号