力扣222 完全二叉树
题目:
给你一棵 完全二叉树 的根节点 root ,求出该树的节点个数。
完全二叉树 的定义如下:在完全二叉树中,除了最底层节点可能没填满外,其余每层节点数都达到最大值,并且最下面一层的节点都集中在该层最左边的若干位置。若最底层为第 h 层,则该层包含 1~ 2h 个节点。
示例:

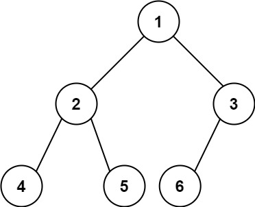
输入:root = [1,2,3,4,5,6]
输出:6
思路:
递归:1+左子树+右子树
在处理单层逻辑的时候,一定要跳出单层的框,从宏观去想,这道题核心就是1+左子树+右子树,每一层都是这样。
/**
 * Definition for a binary tree node.
 * public class TreeNode {
 *     int val;
 *     TreeNode left;
 *     TreeNode right;
 *     TreeNode() {}
 *     TreeNode(int val) { this.val = val; }
 *     TreeNode(int val, TreeNode left, TreeNode right) {
 *         this.val = val;
 *         this.left = left;
 *         this.right = right;
 *     }
 * }
 */
class Solution {
    public int countNodes(TreeNode root) {//1.参数和返回值
        if(root==null){//2.终止条件
            return 0;
        }
        int count1=0;
        int count2=0;
        //3.单层逻辑
        count1=countNodes(root.left); //左子树节点数
        count2=countNodes(root.right);//右子树节点数
        return 1+count1+count2;//根+左子树+右子树
    }
}
 
                    
                     
                    
                 
                    
                
 
                
            
         
         浙公网安备 33010602011771号
浙公网安备 33010602011771号