力扣101 对称二叉树
题目:
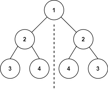
给你一个二叉树的根节点 root , 检查它是否轴对称。
示例:

输入:root = [1,2,2,3,4,4,3]
输出:true
思路:

对于二叉树是否对称,要比较的是根节点的左子树与右子树是不是相互翻转的,理解这一点就知道了其实我们要比较的是两个树(这两个树是根节点的左右子树),所以在递归遍历的过程中,也是要同时遍历两棵树。正是因为要遍历两棵树而且要比较内侧和外侧节点,所以准确的来说是一个树的遍历顺序是左右中,一个树的遍历顺序是右左中。但都可以理解算是后序遍历,尽管已经不是严格上在一个树上进行遍历的后序遍历了。
递归三部曲:
(1)确定递归函数的参数和返回值
因为我们要比较的是根节点的两个子树是否是相互翻转的,进而判断这个树是不是对称树,所以要比较的是两个树,参数自然也是左子树节点和右子树节点。返回值自然是bool类型。
代码如下:
private boolean compare(TreeNode left, TreeNode right)
(2)确定终止条件
要比较两个节点数值相不相同,首先要把两个节点为空的情况弄清楚!否则后面比较数值的时候就会操作空指针了。
节点为空的情况有:
- 左节点为空,右节点不为空,不对称,return false
- 左不为空,右为空,不对称 return false
- 左右都为空,对称,返回true
此时已经排除掉了节点为空的情况,那么剩下的就是左右节点不为空:
- 左右都不为空,比较节点数值,不相同就return false
此时左右节点不为空,且数值也不相同的情况我们也处理了。
代码如下:
if (left == null && right != null) {
return false;
}
if (left != null && right == null) {
return false;
}
if (left == null && right == null) {
return true;
}
if (left.val != right.val) {
return false;
}
把以上情况都排除之后,剩下的就是 左右节点都不为空,且数值相同的情况。
(3)确定单层递归的逻辑
此时才进入单层递归的逻辑,单层递归的逻辑就是处理 左右节点都不为空,且数值相同的情况。
- 比较二叉树外侧是否对称:传入的是左节点的左孩子,右节点的右孩子。
- 比较内测是否对称,传入左节点的右孩子,右节点的左孩子。
- 如果左右都对称就返回true ,有一侧不对称就返回false 。
代码如下:
// 比较外侧
boolean compareOutside = compare(left.left, right.right);// 左子树:左、 右子树:右
// 比较内侧
boolean compareInside = compare(left.right, right.left);// 左子树:右、 右子树:左
return compareOutside && compareInside;// 左子树:中、 右子树:中(逻辑处理)
可以看出使用的遍历方式,左子树左右中,右子树右左中,所以我把这个遍历顺序也称之为“后序遍历”。
/**
* Definition for a binary tree node.
* public class TreeNode {
* int val;
* TreeNode left;
* TreeNode right;
* TreeNode() {}
* TreeNode(int val) { this.val = val; }
* TreeNode(int val, TreeNode left, TreeNode right) {
* this.val = val;
* this.left = left;
* this.right = right;
* }
* }
*/
class Solution {
public boolean isSymmetric(TreeNode root) {
return compare(root.left,root.right);
}
private boolean compare(TreeNode left, TreeNode right) {
//一个空一个不空不对称
if (left == null && right != null) {
return false;
}
if (left != null && right == null) {
return false;
}
//都空则对称
if (left == null && right == null) {
return true;
}
//数值不等不对称
if (left.val != right.val) {
return false;
}
// 比较外侧
boolean compareOutside = compare(left.left, right.right);
// 比较内侧
boolean compareInside = compare(left.right, right.left);
return compareOutside && compareInside;
}
}

浙公网安备 33010602011771号