力扣226 翻转二叉树
题目:
给你一棵二叉树的根节点 root ,翻转这棵二叉树,并返回其根节点。
示例:

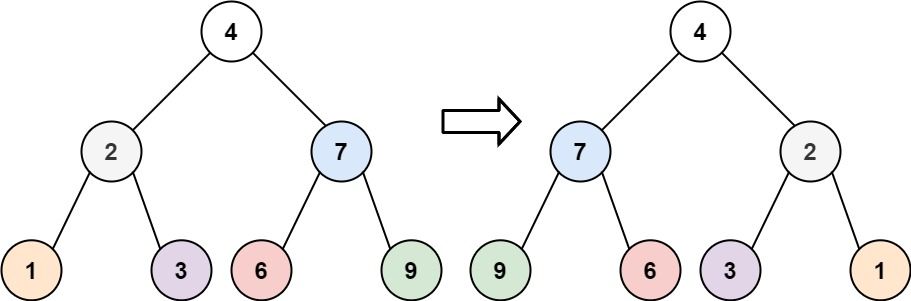
输入:root = [4,2,7,1,3,6,9]
输出:[4,7,2,9,6,3,1]
思路:
注意不是交换数值,而是指针交换。
(1)确定递归函数的参数和返回值
参数就是要传入节点的指针,不需要其他参数了,通常此时定下来主要参数,如果在写递归的逻辑中发现还需要其他参数的时候,随时补充。
返回值的话其实也不需要,但是题目中给出的要返回root节点的指针,可以直接使用题目定义好的函数,所以就函数的返回类型为TreeNode。
(2)确定终止条件
当前节点为空的时候,就返回。
(3)确定单层递归的逻辑
选前序遍历,所先进行交换左右孩子节点,然后反转左子树,反转右子树。
class Solution {
    public TreeNode invertTree(TreeNode root) {//1.确定参数和返回值
        if(root==null){//2.确定终止条件
            return null;
        }
        //3.确定单层递归逻辑
        swapChildren(root);//根
        invertTree(root.left);//左
        invertTree(root.right);//右
        return root;
    }
     private void swapChildren(TreeNode node){
        TreeNode temp=node.left;
        node.left=node.right;
        node.right=temp;
     }
}
//迭代法
class Solution {
    public TreeNode invertTree(TreeNode root) {
        if(root==null){
            return null;
        }
        Stack<TreeNode> st=new Stack<>();
        st.push(root);
        while(!st.isEmpty()){
            TreeNode node=st.pop();
            swap(node);
            if(node.right!=null){
                st.push(node.right);
            }
            if(node.left!=null){
                st.push(node.left);
            }
        }
        return root;
    }
    public void swap(TreeNode node){
        TreeNode temp=node.left;
        node.left=node.right;
        node.right=temp;
    }
}
tips:
访问和处理,有时候只需要替换一下访问或者处理的部分。
比如前中后序遍历的处理是将节点值添加到数组,那么这道题的处理逻辑为交换节点的左右孩子。将这一部分换后,会发现和最基本的前序遍历相同。
 
                    
                     
                    
                 
                    
                
 
                
            
         
         浙公网安备 33010602011771号
浙公网安备 33010602011771号