力扣102 二叉树的层序遍历(广度优先搜索)
题目:
给你二叉树的根节点 root ,返回其节点值的 层序遍历 。 (即逐层地,从左到右访问所有节点)。
示例:

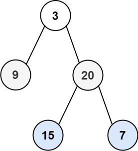
输入:root = [3,9,20,null,null,15,7]
输出:[[3],[9,20],[15,7]]
思路:
利用队列,记录每层的结点数,并弹出每层。(迭代法)
(1)队列进3,size=1,出队,size--,并且将节点的孩子入队
(2)再次记录size,每出队一个,就size--,当size为0时,本层遍历结束
(3)直至队列为空,说明没有下一层了
class Solution {
    public List<List<Integer>> levelOrder(TreeNode root) {
        List<List<Integer>> resList = new ArrayList<List<Integer>>();
        if(root==null){
            return resList;
        }
        Queue<TreeNode> que=new LinkedList<>();
        que.offer(root);
        while(!que.isEmpty()){
            List<Integer> res=new ArrayList<>();//这里一定注意要在局部定义
            int size=que.size();//记录每层结点数
            while(size>0){//size为0时代表一层已全部弹出
                TreeNode node=que.poll();
                res.add(node.val);
                size--;
                if(node.left!=null){//加入下一层
                    que.offer(node.left);
                }
                if(node.right!=null){//加入下一层
                    que.offer(node.right);
                }
            }
            resList.add(res);
        }
        return resList;
    }
}
 
                    
                     
                    
                 
                    
                
 
                
            
         
         浙公网安备 33010602011771号
浙公网安备 33010602011771号