卡特兰数(Catalan number)
卡特兰数(Catalan number),是组合数学中一个常出现于各种计数问题中的数列,以比利时数学家欧仁·查理·卡特兰的名字命名。
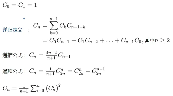
其前几项为(从第0项开始):1, 1, 2, 5, 14, 42, 132, 429, 1430, 4862, 16796, ...
1.定义

令:h(0)=h(1)=1,递推式:
h(n)=h(0)h(n-1)+h(1)h(n-2)+...+h(n-1)*h(0),n>=2
一、参考资料
1、求卡特兰数(Catalan number)

浙公网安备 33010602011771号