假设检验
好博客<----

假设:为例推断总体的某些未知特征,提出某些关于总体的假设
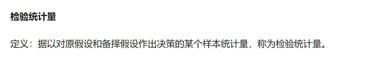
检验:对作出的假设合理性进行检验评估
《假设》

注意这个只是一般情况,做题最重要的还是看哪个条件带了=
=一定要在原假设这边
比如:

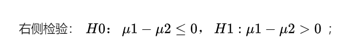
这里的H0: u<= (u0=225)
但是如:

这里的H0: u>= (u0=1000)
因为这里是平均使用寿命不得低于1000,不低于1000,也就是要>=
有=要放在H0这里
《错误》



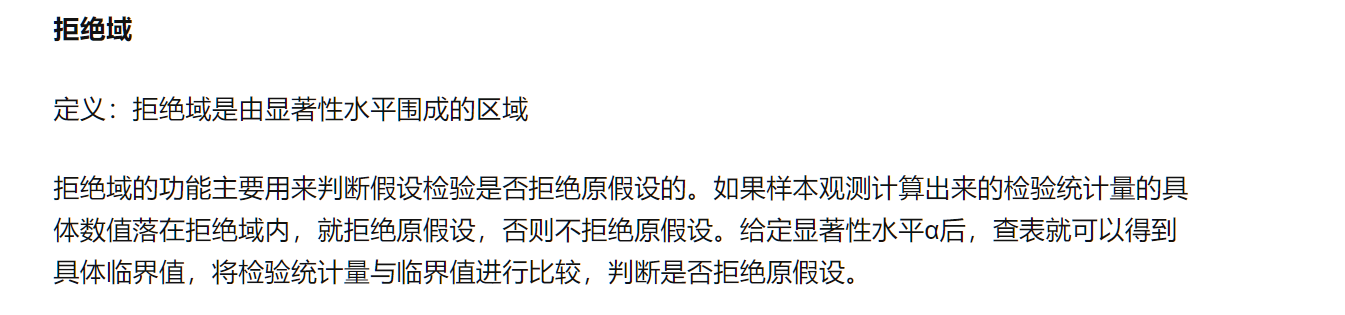
《拒绝域》

《双边假设检验》

举例:

来思考一下,我们应该如何来检验机器是否正常?
通过什么来作为我们判断的标准?
我们知道
是通过我们真实测试得到的数据,其代表了一定的真实性
u<= || u>= || u== 的这个u是我们的假设,我们假设
服从u的大小规律
我们有

我们假设
就表明了
应该是与u0的大小是相差不大的
从而z的值应该在图像的:

如果落在拒绝域说明假设不对

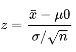
这里我们可以用:
~N(0,1)
因为假设H0为真,那么|
| 的值就不会太大
那么在正态分布的图上z是个点

即我们认为如果z在拒绝域了,那么我们的假设就不合理
所以一般题目会告诉我们α,然后我们查表得知上α分位点
然后就求得到了拒绝域
然后我们再计算一下z,看一下这个z是否落在拒绝域
《单边检测》


如何理解?
因为如果H1成立的话,那么z的值就会在拒绝域中
而H1成立,那么观察值
就往往比较小(因为观察值与u是无偏估计
u的大小一般也反应了观察值的大小)
那么z的值就小,于是就形成了往图中x坐标的左边靠的情况
下面同理


做题方法与上面一节的区间估计特别像


浙公网安备 33010602011771号