参数估计
总体分布的参数往往是未知的,需要样本进行估计
在参数估计中一般
用样本均值估计总体均值
即用-x 代替 E(x)
用方差估计总体方差
即用1/n*∑(Xi--X)^2 代替 D(x)
解题方式是:
我们一般都能用E(X)和 D(X)将未知参数表示出来
然后用样本的均值和方差来代替 E(X) 和 D(X)
于是解方程


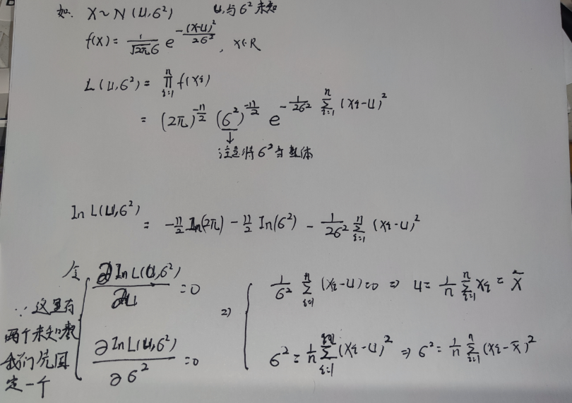
《最大似然估计法》

《能用求导求出》


《不能用求导》

《估计的评选标准》
无偏性

注意这个
是X1,X2.....Xn的函数,我们正是用Xi这些已知量来近似未知量
是总体X关于
的均值
即我们希望我们用样本估计出来的未知量其有均值的话,其应该与总体的相同
如课本上的例子:

是我们用Xi估计出来的均值,其为u,与总体的均值相同
有效性
即取众多无偏估计量中方差最小的那个

《区间估计》



浙公网安备 33010602011771号