样本及其抽样分布
《随机样本》
总体X
对总体X进行n次重复的,独立的观察,得到:
X1,X2,X3....,Xn
注意Xi是随机变量,被称为样本 ,而且Xi与X同分布,Xi之间相互独立
当(X1,X2,....,Xn)有确定的值后为(x1,x2,....,xn)
这个被称为样本值

《统计量》

常见统计量:

《重要定理》
注意这里的总体X不管服从什么分布,只要有均值和方差存在就要下面的定理:

的理解方式是:
D(X)是全部样本的方差为
,方差说明离散性(波动性)
样本较多时可能波动性更大点
现在只取n个样本进行求方差,比全部样本求方差波动性更小
《分布》
主要是记住书上每个分布的基本定义和重要性质:

详情看书上的

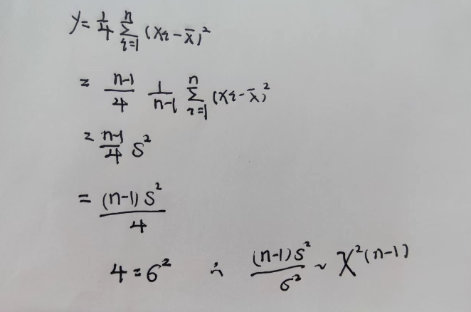
像这种题要咋做?
看到有
这种形式的应该往样本方差S^2上去想



浙公网安备 33010602011771号