随机变量及其分布
《随机变量》
在随机试验中的样本空间S
其中的每一个事件e,都可以在我们的定义下对应一个实数
则X=X(e)为随机变量
如:我们将一枚硬币抛2次,记X为2次抛得到硬币为正面的次数
则这个时候,每一个事件都可以对应于一个实数
符合函数的定义
类似如图:

因为随机变量的取值随试验的结果而定,所以有一定的概率
有如下写法:
P{X<=1}=...
P{X=1}=...
之类的
《离散型随机变量及其分布率》
随机变量的可能取值是 有限个 或 可列无限个,为离散型随机变量
但是如果记X为灯泡的寿命,那么寿命是不可列的(因为时间可以无限细分下去,没有尽头)
为非离散型随机变量
我们知道离散型随机变量X,是函数X(e)的值域
记P{X=xk }= pk ,k=1,2.... (2.1)
结合函数定义来理解:



如何理解?
如果!=空,那么就有事件对应于多个随机变量,这是不符合函数定义的
《0-1分布》
随机变量X只可能取 0与1 两个值
分布式: P{X=k} =p^k (1-p)^(1-k) ,k=0,1
《n重伯努利试验与二项分布》
伯努利试验:试验E只有两个可能结果 A 与 -A
n重伯努利试验:试验E独立地重复n次
每一次试验中P(A)=p 保持不变,同时注意“独立”
即各个试验的结果互不影响
其分布式:P(X=k)= C(k)(n) p^k (q)^(n-k)
q=1-p
其长的特像二项式 (p+q)^n 中 展开式的p^k 的一项
所以也被称为二项分布
记 X~b(n,p)
《泊松分布》
书P37
《离散型随机变量的分布函数》
注意离散型随机变量也是有分布函数的!


其能够取到的点,即是分布函数上的分段点
下面有问题来了:

可知这个离散型随机变量只能够取到 -1,2 这两个点
所以因为

则P{X=2}=2/3,
a=1/3
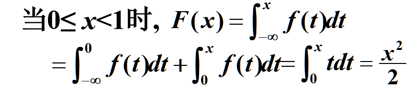
《分布函数,连续型随机变量及其概率密度》
我们知道 有 P{X<=1}=...
现在令
F(x)= P{X<=x}
-∞<x<+∞
F(x)则被称为随机变量X的分布函数
P{x1<X<=x2}=F(x2)-F(x1)
如果随机变量X是连续的,那么其称为连续型随机变量
同时有
F(x)=P{X<=x}=∫(x)(-∞)f(t)dt
f(t)这个函数被称为概率密度函数
有性质:
P{X=a} =0 (a为某具体实数)
这个性质有时作用呢?
比如:P{x1<=X<=x2} = P{x1<X<=x2}
可以让用公式F(x2)- F(x1) 了
∫(+∞)(-∞)f(t)=1
F(+∞)=1
F(-∞)=0
这个性质可以求f(t)函数中的参数

同时我们在求连续型的 F(x)的时候,一定要注意

务必要记得想这种的要分段,具体如下:

在x<=0时与 0<x<1时 f(t)是不一样的,注意利用求导的分段求
如何检查自己的F(x)是否求对了呢?
判断是否:
F(+∞)=1
F(-∞)=0
分断点处,左极限与右极限(即是否连续)是否相等
《连续型随机变量的各种分布》
《均匀分布》
概率密度: f(x)={ 1/(b-a) ,a<x<b
0,其他
分布函数: F(x)= { 0,x<a
x-a/(b-a) , a<=x<b
1, x>=b
X~U(a,b)
当只要看到某连续型随机变量X具有概率密度或分布函数如上
那么就应该要知道X在(a,b)上服从均匀分布
可以这么理解这个:

概率都均匀地分布在(a,b)上
《指数分布》
概率密度:
f(x)={ 1/o*(e^(-x/o)) , x>0
0,其他
分布函数:
F(x)={ 1-(e^(-x/o))
0,其他
其主要的运用在于他的 无记忆性性质
P46
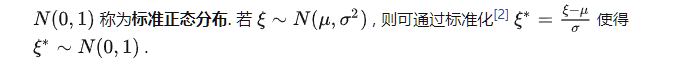
《正态分布》


X~N(u,
)

标准正态分布我们可以进行查表 ( P(397) ) 来得到其值
但是正态分布不行
一个十分重要的性质,可以将正态分布与标准正态分布联系起来:
证明:P48


这个可以将正态分布的分布函数的值与
标准正态分布的分布函数的值联系起来
是标准正态分布的分布函数
《随机变量的函数》
随机变量的函数这个词说了好像没说一样,想要了解其含义看P50
分别记 X,Y的分布函数为FX(x),FY(y)
已知X的概率函数为fX(x),已知y=g(x)
求fY(y) (即Y的概率函数)
通解方法是:
FX(x)=P{X<=x}
FY(y)=P{Y<=y}
=P{g(X)<=y}
=P{ X<=h(y) } (这里只是假设 X<=h(y),具体要根据情况)
=FX(h(y))
然后求导
fY(y)=fX(h(y)) * h(y)'
典型例子看P52
还有个定理:可以利用g(x)的单调性直接求上述问题
P44
对于平均分布和指数分布也可以用,专门题目P54
《练习》

F(x)=P{X<=x}
这里X 表示等待的时间
有80%的概率亮红灯,要进行等待,其等待的时间在[0,30]上服从均匀分布,
即最多等30s,最少等0s
则从这里可以先得:
F(x)=0,x<0
F(x)=1,x>=30
当0<=x<30时
要求P{X<=x},则要用全概率公式(因为有红灯亮和绿灯亮的两种情况)
设事件B为红灯亮
P{X<=x}=P(X<=x|B)*P(B)+P(X<=x|-B)*P(-B)
当-B时,即绿灯亮,X=0,即0<=x,在这个时候是永远成立的
即P{X<=x}=P(X<=x|B)*0.8+1*0.2


浙公网安备 33010602011771号