数论基础总集
大部分都是参考此博客:https://www.zhihu.com/column/c_1458888988497420288
《扩展欧几里得定理》
《欧几里得算法》
gcd(a,b)=gcd(b,a%b);

《欧拉函数》





《欧拉定理》

《小费马定理》

《卢卡斯定理》

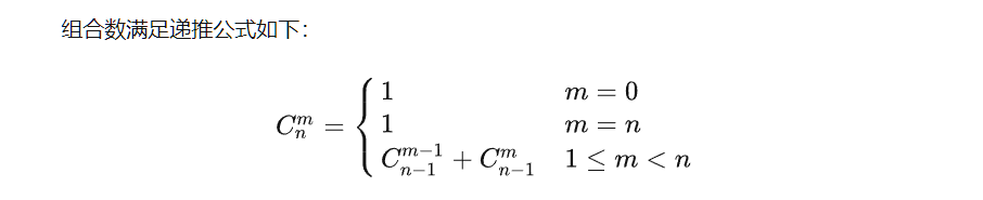
《组合数》


上面的求组合数在模p下的值,为啥要用逆元?因为除法不好用逆元
这下面就扯到逆元了
《逆元》




如何求逆元?
由小费马定理,如果a与p互素,则a^(p-1)=1(modp)
则在这个条件下a的逆元其实就是a^(p-2);
如何求a^(p-2),在p比较大的情况下,而且还是在modp的情况下?
下面就涉及到了二分快速幂
《二分快速幂》

最重要的还是下面的二进制优化法:

1 #include <iostream>
2 #include <cstring>
3 #include <algorithm>
4 using namespace std;
5 typedef long long LL;
6 int qmi(int a, int b, int mod)
7 {
8 //答案
9 int res = 1;
10 //乘数
11 int mul = a;
12 while (b)
13 {
14 //在二进制下b的第0位是否是1
15 //是1则要乘,否则不要
16 if (b & 1)
17 res = res * 1LL * mul % mod;
18 mul = mul * 1LL * mul % mod;
19 b = b >> 1;
20 }
21 return res;
22 }
23 int main()
24 {
25 int n;
26 cin >> n;
27 while (n--)
28 {
29 int a, b, mod;
30 cin >> a >> b >> mod;
31 cout << qmi(a, b, mod) << endl;
32 }
33 return 0;
34 }
《矩阵快速幂》
即求矩阵A的 A^k
与普通的快速幂相同,只是*的时候要按照矩阵的规则去求
即:
#include <iostream>
#include <algorithm>
#include <cstring>
#include <vector>
using namespace std;
typedef long long ll;
const ll mod = 1e9 + 7;
ll n, k;
struct Matrix
{
ll g[102][102];
} a;
Matrix operator*(const Matrix &x, const Matrix &y)
{
Matrix t;
for (int i = 1; i <= n; i++)
for (int j = 1; j <= n; j++)
t.g[i][j] = 0;
for (int i = 1; i <= n; i++)
for (int j = 1; j <= n; j++)
for (int k = 1; k <= n; k++)
t.g[i][j] = (t.g[i][j] + (x.g[i][k] * y.g[k][j]) % mod) % mod;
return t;
}
Matrix ans;
void quick()
{
for (int i = 1; i <= n; i++)
for (int j = 1; j <= n; j++)
ans.g[i][j] = (i == j ? 1 : 0);
while (k)
{
if (k & 1)
ans = ans * a;
k >>= 1;
a = a * a;
}
}
int main()
{
cin >> n >> k;
for (int i = 1; i <= n; i++)
for (int j = 1; j <= n; j++)
cin >> a.g[i][j];
quick();
for (int i = 1; i <= n; i++)
{
for (int j = 1; j <= n; j++)
cout << ans.g[i][j] << " ";
cout << endl;
}
return 0;
}
运用:矩阵加速
在求一些能够迭代的式子中,通常可以用矩阵的运算方式进行求解
如

这个就可以写成:
我们知道这个可以迭代:fi=fi-1+fi-2
但是当i十分大的时候如何办? (如:i>=1e12)
其实这个式子可以用矩阵的方式求解:


再如:

主要是进行构造
以第一个例子为例:
#include <iostream>
#include <algorithm>
#include <cstring>
using namespace std;
typedef long long ll;
const int N = 4, mod = 1e9 + 7;
int n = 3;
struct Matrix
{
ll g[N][N];
};
Matrix operator*(const Matrix &x, const Matrix &y)
{
Matrix t;
for (int i = 1; i <= n; i++)
for (int j = 1; j <= n; j++)
t.g[i][j] = 0;
for (int i = 1; i <= n; i++)
for (int j = 1; j <= n; j++)
for (int k = 1; k <= n; k++)
t.g[i][j] = (t.g[i][j] + (x.g[i][k] * y.g[k][j]) % mod) % mod;
return t;
}
ll p;
Matrix a;
void init()
{
a.g[1][1] = 1, a.g[1][2] = 0, a.g[1][3] = 1;
a.g[2][1] = 1, a.g[2][2] = 0, a.g[2][3] = 0;
a.g[3][1] = 0, a.g[3][2] = 1, a.g[3][3] = 0;
}
void solve()
{
init();
cin >> p;
p--;
Matrix ans;
for (int i = 1; i <= n; i++)
for (int j = 1; j <= n; j++)
ans.g[i][j] = (i == j ? 1 : 0);
while (p)
{
if (p & 1)
ans = ans * a;
p >>= 1;
a = a * a;
}
ll t[][2] = {
{0, 0},
{0, 1},
{0, 1},
{0, 1}};
ll res[4][4];
for (int i = 1; i <= n; i++)
for (int j = 1; j <= n; j++)
res[i][j] = 0;
for (int i = 1; i <= 3; i++)
for (int k = 1; k <= 3; k++)
res[i][1] = (res[i][1] + (ans.g[i][k] * t[k][1]) % mod) % mod;
cout << res[3][1] << endl;
}
int main()
{
int t;
cin >> t;
while (t--)
solve();
return 0;
}

浙公网安备 33010602011771号