数论----GCD(Greatest Common Divisor) 最大公约数 与 LCM(Least Common Multiple)最小公倍数
《GCD》
算法:(递归层数很小,与用非递归版本的没有区别,且递归版本更好写)

原理:
即:a,b的最大公约数==b,a%b的最大公约数
证明:


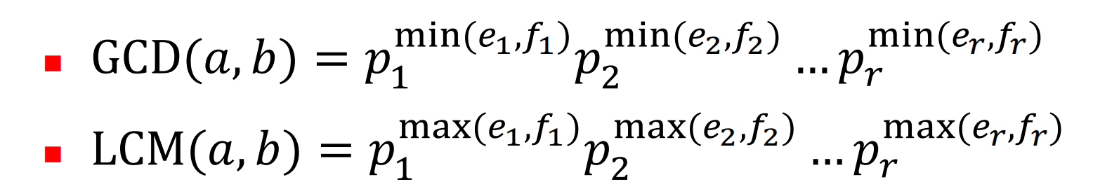
《性质》

根据性质计算超大整数GCD:

《LCM》

算法:

原理:


《题目》

解出这个题目的关键:
1.不要直接用结论,会死的很惨,而是要用推出结论的方式,去推出性质
2.如果t=GCD(a,b),则 a=pt,b=qt, p与q互质
3.如果 a与c互质,b与c互质,则 a*b与c互质
第三点证明:

证明来自大佬博客:https://blog.csdn.net/qq_25847123/article/details/95765764
题解:


浙公网安备 33010602011771号