剑指offer_合并两个排序的链表
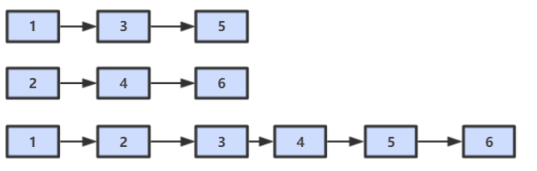
题目描述

方法一:按部就班算
1 /* 2 public class ListNode { 3 int val; 4 ListNode next = null; 5 6 ListNode(int val) { 7 this.val = val; 8 } 9 }*/ 10 public class Solution { 11 public ListNode Merge(ListNode list1,ListNode list2) { 12 ListNode head=new ListNode(-1); 13 ListNode memo=head; 14 while(list1!=null||list2!=null){ 15 if(list1==null){ 16 ListNode m=new ListNode(list2.val); 17 list2=list2.next; 18 head.next=m; 19 head=head.next; 20 continue; 21 } 22 if(list2==null){ 23 ListNode m=new ListNode(list1.val); 24 list1=list1.next; 25 head.next=m; 26 head=head.next; 27 continue; 28 } 29 if(list1.val < list2.val){ 30 ListNode m=new ListNode(list1.val); 31 list1=list1.next; 32 head.next=m; 33 head=head.next; 34 } 35 else{ 36 ListNode m=new ListNode(list2.val); 37 list2=list2.next; 38 head.next=m; 39 head=head.next; 40 } 41 42 } 43 return memo.next; 44 } 45 }
方法二:递归
1 /* 2 public class ListNode { 3 int val; 4 ListNode next = null; 5 6 ListNode(int val) { 7 this.val = val; 8 } 9 }*/ 10 public class Solution { 11 public ListNode Merge(ListNode list1,ListNode list2) { 12 if(list1==null) return list2; 13 if(list2==null) return list1; 14 if(list1.val<=list2.val){ 15 list1.next=Merge(list1.next,list2); 16 return list1; 17 }else{ 18 list2.next=Merge(list1,list2.next); 19 return list2; 20 } 21 22 } 23 }

浙公网安备 33010602011771号